
|
สมการสำหรับการเคลื่อนที่ในแนวตรง การเคลื่อนที่ในแนวตรง คือ การเคลื่อนที่ที่มีเส้นทางการเคลื่อน ที่เป็นแนวเส้นตรงตลอดเวลา ซึ่งมีข้อพิจารณาดังนี้ 1. การเคลื่อนที่ในทิศทางเดียว 2. การเคลื่อนที่ไปในทิศทางหนึ่ง แล้วมีการกลับทิศการเคลื่อนที่ การกระจัด < ระยะทาง
1. การเคลื่อนที่ด้วยความเร็วคงตัว การเคลื่อนที่ด้วยความเร็วคงตัว คือการเคลื่อนที่ในอัตราคงที่ เท่าเดิมตลอดเวลานั่นคือ จะเคลื่อนที่ได้ระยะทางเท่าเดิม ในช่วงเวลาที่เท่าเดิม เช่น จากการสังเกตการวิ่งของรถบังคับวิทยุคันหนึ่ง โดยทำการวัดระยะทาง (s) ณ เวลา (t) ต่างๆ กัน ดังตาราง
ความเร็วของวัตถุหาได้จาก
ตัวอย่างที่ 10 จงคำนวณหาตำแหน่งของวัตถุชิ้นหนึ่ง ที่กำลังเคลื่อนที่ไปทางขวาบนแกน x ด้วยขนาดความเร็วคงตัว 2 เมตร/วินาทีโดยเริ่มต้นที่ตำแหน่ง x(0) = -15.0 m. โดยใช้เวลาเคลื่อนที่ทั้งสิ้นครึ่งนาที วิธีทำ
2. การเคลื่อนที่ด้วยความเร่งคงตัว ในกรณีการเคลื่อนที่ด้วยความเร่งคงตัว ถ้าเขียนกราฟระหว่างเวลา (t) กับความเร็ว (v)จะได้กราฟเป็นกราฟเส้นตรง
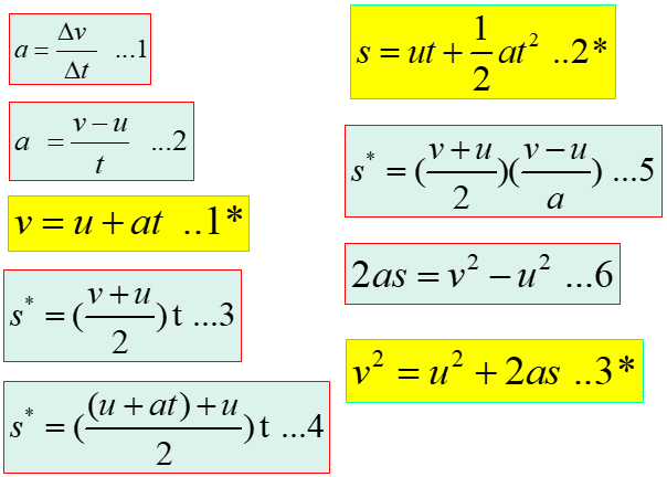
การสังเคราะห์สมการการเคลื่อนที่ในแนวตรงด้วยอัตราเร่งคงตัว จากคำนิยามของความเร่ง
เปรียบเทียบสมการสัญลักษณ์แบบเดิมกับแบบใหม่
แบบฝึกหัด 1. รถยนต์ A เริ่มเคลื่อนที่จากหยุดนิ่ง โดยอัตราเร็วเพิ่มขึ้น 2 เมตรต่อวินาที ทุก 1 วินาที เมื่อสิ้นวินาที 5 รถจะมีอัตราเร็วเท่าใด 2. รถยนต์ กำลังแล่นด้วยความเร็ว 72 กิโลเมตรต่อชั่วโมง การเหยียบเบรคที่ทำให้รถหยุดได้ ในเวลา 10 วินาที ทำให้เกิดความเร่งเท่าใด 3. นักวิ่งทีมชาติไทย วิ่งเป็นเส้นตรงด้วยความเร็วต้น 10 m/s โดยมีความเร่ง 5 m/s2 ขณะที่เขาวิ่งได้ ระยะทาง 480 เมตร เขาเคลื่อนที่มาแล้วกี่วินาที 4. วัตถุหนึ่งเคลื่อนที่ จากหยุดนิ่ง ด้วยความเร่ง 12 m/s2 จงหาว่าในช่วงวินาทีที่ 10 วัตถุนี้เคลื่อนที่ได้ระยะทางเท่าไร 5. รถยนต์แล่นด้วยความเร็ว 10 เมตร/วินาที ขณะที่อยู่ห่างจากสิ่งกีดขวาง 35 เมตร คนขับตัดสินใจห้ามล้อ โดยเสียเวลา 1 วินาที ก่อนที่ห้ามล้อจะทำงานถ้ารถไปหยุดขณะถึงสิ่งกีดขวางพอดี รถคันนี้ลดอัตราเร็วลงในอัตราเท่าไร 6. ชายคนหนึ่งขับรถด้วยความเร็ว 72 km/hr เมื่อผ่านด่านตรวจไปได้ 10 วินาที ตำรวจจึงออกรถไล่กวด และตามทันในเวลา 2 นาที ตำรวจต้องเร่งเครื่องยนต์ด้วย ความเร่งคงที่เท่าไร
|