
|
ความเร่ง คือ ความเร็วที่เปลี่ยนไปในหนึ่งหน่วยเวลาเป็นปริมาณเวกเตอร์หรืออัตราการเปลี่ยนความเร็ว เมื่อวัตถุมีความเร่งในช่วงเวลาหนึ่ง ความเร็วของมันจะเปลี่ยนแปลงไป ความเร่งอาจมีค่าเป็นบวกหรือลบก็ได้ ซึ่งเรามักว่าเรียก ความเร่ง (+a) กับ ความหน่วง (-a) ตามลำดับ ความเร่งมีนิยามว่า "อัตราการเปลี่ยนแปลงความเร็วของวัตถุในช่วงเวลาหนึ่ง" โดยสามารถเขียนเป็นความสัมพันธ์ระหว่างความเร็ว และเวลาได้ว่า
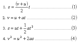
นอกจากสูตรการคำนวณการเคลื่อนที่ในแนวเส้นตรง คำนิยามของความเร่งขณะหนึ่ง และความเร่งเฉลี่ย ความเร่งขณะหนึ่ง คือ ความเร่งในช่วงเวลาสั้นๆ ความเร่งเฉลี่ย คือ อัตราส่วนระหว่างความเร็วที่เปลี่ยนไปทั้งหมดกับช่วงเวลาที่เปลี่ยนความเร็วนั้น โดยในส่วนของ 2 สมการหลัง [(3) และ (4)] เป็นการนำสองสมการแรก [(1) และ (2)] มาแทนค่ากันและกันโดยสมการที่ 3 เป็นการแทนค่า v จากสมการที่ 2 ลงในสมการ 1 ส่วนสมการที่ 4 เป็นการแทนค่า t จากสมการที่ 2 ลงในสมการ 1
รูปแสดงการเคลื่อนที่แบบมีความเร่ง ตามรูปแล้วมีวัตถุมวล (m) ความเร็วต้น (u) เคลื่อนที่ไปในระยะเวลา (t) ได้ระยะทางเท่ากับ (s) จนมีความเร็วปลาย (v) ซึ่งขณะที่กำลังเคลื่อนที่มีอัตราเร่ง (a) เกิดขึ้น ซึ่งเป็นแบบทั่วไปในการใช้ตั้งคำถามเกี่ยวกับการเคลื่อนที่แบบมีความเร่ง ขอบคุณเนื้อหาเพิ่มเติม : |