
|
สารชีวโมเลกุล ข้อมูลองค์ประกอบมวล Mass composition data for the human body in terms of major types of biochemical substances.
Figure 4.9 Some biologically important chemical groups.
สารประกอบที่มีสูตรโมเลกุลเหมือนกัน อาจมีโครงสร้างที่แตกต่างกัน และมีผลทำให้สารประกอบนั้นมีสมบัติต่างกัน สารประกอบที่เป็นไอโซเมอร์กัน อาจมีสมบัติทางฟิสิกส์และเคมีที่ไม่แตกต่างกัน แต่อาจมีชื่อเรียกแตกต่างกัน โดยทั่วไปจะมีเพียงไอโซเมอร์เดียวที่สามารถแสดงสมบัติทางชีวภาพได้
ตัวอย่างอีพิเมอร์ (epimer) ของมอโนแซ็กคาไรด์ Diastereoisomer = isomer ที่ไม่เป็นเงาในกระจกซึ่งกันและกัน เช่น อีพิเมอร์
- Organic molecules consisting only of carbon andhydrogen are called hydrocarbons . - Macromolecules are polymers, built from monomers - The Synthesis and Breakdown of Polymers
คาร์โบไฮเดรต คาร์โบไฮเดรตเป็นกลุ่มของโมเลกุลที่กำหนดขอบเขตอย่างหลวม ๆ ซึ่งประกอบด้วยธาตุคาร์บอน ไฮโดรเจน และออกซิเจน ในอัตราส่วนโดยโมล 1:2:1 โดยสูตรทั่วไปคือ (CH2O)n ซึ่ง n คือจำนวนอะตอมของคาร์บอน The carbohydrates are a loosely defined group of molecules that contain carbon, hydrogen, and oxygen
โครงสร้างและการจำแนกประเภทของโมโนแซ็กคาไรด์บางชนิด The structure and classification of some monosaccharides.
รู้หรือไม่ ? เพื่อบ่งบอกจำนวนคาร์บอนในมอโนแซ๊กคาไรด์ เรามักจะเรียกชื่อตามจำนวนคาร์บอนที่เป็นองค์ประกอบ โดยมีขั้นตอนการอ่าน ดังนี้ 1. อ่านจำนวนคาร์บอนเป็นภาษากรีก 2. อ่านลงท้ายเสียง ด้วยคำว่า –โอส (-ose)
โมโนแซ็กคาไรด์ Monosaccharide
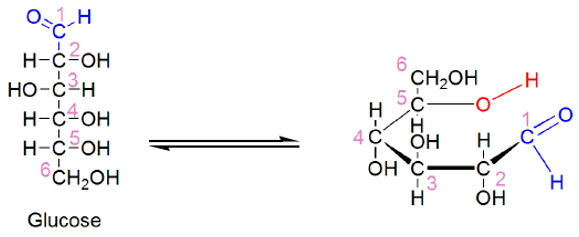
รูปแบบเชิงเส้นและวงแหวนของกลูโคส เพิ่มเติม : Linear and ring forms of glucose
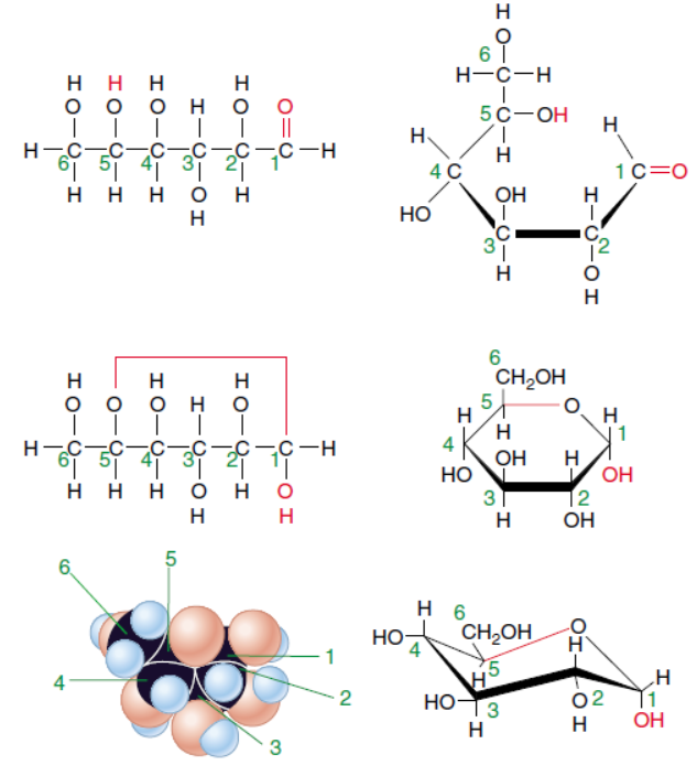
ภาพ Fischer Projection ของกลูโคสและเปิดปิดโครงสร้าง
ภาพการเกิดโครงสร้างแบบวงของกลูโคส
Examples of disaccharide synthesis. ตัวอย่างการสังเคราะห์ไดแซ็กคาไรด์
Polysaccharides are macromolecules, polymers with a few hundred to a few thousand monosaccharides joined by glycosidic linkages. โพลีแซ็กคาไรด์ (Polysaccharide) โพลีแซ็กคาไรด์เป็นแมคโรมอลกุลประเภทหนึ่ง ซึ่งเป็นพอลิเมอร์ที่ประกอบด้วยมอโนแซ็กคาไรด์หลายร้อยถึงหลายพันหน่วยเชื่อมต่อกันด้วยพันธะไกลโคซิดิก (glycosidic linkages)
เปรียบเทียบ Glycogen & Amylopectin
ตารางที่ 2.12 ความหวานสัมพัทธ์ (relative sweetness) ของน้ำตาลและสารแทนน้ำตาล (sugar substitute)
การทดสอบน้ำตาลรีดิวซ์ (reducing sugar)
Tollens' reagent
การทดสอบด้วยสารละลายเบเนดิกส์ (Benedicts' test)
- Although fats are not polymers, they are large molecules assembled from smaller molecules by dehydration reactions. - A fat - Glycerol is an alcohol - A fatty acid has a long carbon skeleton, usually 16 or 18 carbon atoms in length.
ไขมัน (Lipids)
The terms saturated fats “ไขมันอิ่มตัว” และ “ไขมันไม่อิ่มตัว” มักถูกใช้กันอย่างแพร่หลายในบริบทของโภชนาการ
The phrase “hydrogenated vegetable oils” on food labels means that unsaturated fats have been synthetically converted to saturated fats by adding hydrogen - Peanut butter, margarine, and many other products are hydrogenated to prevent lipids from separating out in liquid (oil) form. “น้ำมันพืชเติมไฮโดรเจน” ที่พบในฉลากอาหาร หมายถึง ไขมันไม่อิ่มตัวได้ถูกเปลี่ยนสภาพให้เป็นไขมันอิ่มตัวโดยกระบวนการเติมไฮโดรเจนเข้าไป
chematic representations of three types of membrane lipid.
Lipid (Steroids)
At the center of the amino acid - Its four different partners are an amino group, a carboxyl group, a hydrogen atom, and a variable group symbolized by R. The R group, also called the side chain, differs with each amino acid. ที่ศูนย์กลางของกรดอะมิโนจะมีอะตอมคาร์บอนที่ไม่สมมาตร เรียกว่า คาร์บอนแอลฟา (α)
Naming of peptides การตั้งชื่อเปปไทด์ (Naming of peptides)
Levels of Protein Structure
กรดอะมิโนแต่ละชนิดมีค่าความเป็นกรด-เบสที่ทำให้ประจุมีค่าสมดุลหรือมีจำนวนประจุบวกและประจุลบเท่ากัน เรียกค่าความเป็นกรด-เบสนี้ว่า จุดไอโซอิเล็กทริกหรือจุดประจุไฟฟ้าสมดุล (isoelectric point, pl)
การทดสอบโปรตีน - Biuret test ทดสอบสารที่มีพันธะเพปไทด์ (-CO-NH-) ตั้งแต่ 2 ตำแหน่งขึ้นไป ได้แก่ ไตรเพปไทด์ โอลิโกเพฟไทด์ และโปรตีนที่มีโครงสร้างซับซ้อน
- Sulfur test ทดสอบกรดอะมิโนที่มีกำมะถันเป็นองค์ประกอบ ได้แก่ ซีสเทอีน และซิสทีน ยกเว้นเมไทโอนีน
- Sakaguchi reaction ใช้ทดสอบกรดอะมิโนอาร์จีนีนที่มีโซ่ข้าง เป็นกวานิดีน (guanidine)
A purine-purine pair is too wide and a pyrimidine-pyrimidine pair too narrow to account for the 2-nm diameter of the double helix. คู่เบสระหว่างพิวรีน-พิวรีนกว้างเกินไป และคู่เบสระหว่างไพริมิดีน-ไพริมิดีนแคบเกินไป ซึ่งไม่สอดคล้องกับเส้นผ่านศูนย์กลาง 2 นาโนเมตรของโครงสร้างเกลียวคู่ (double helix)
Chargaff's Rule: Rule of Base Pairing กฎของชาร์กาฟ (Chargaff's Rule): กฎการจับคู่เบส
เพิ่มเติม
The double helix exists in multiple conformations โครงสร้างเกลียวคู่ (double helix) มีหลายรูปแบบโครงสร้าง (conformations) ที่แตกต่างกัน
โครโมโซมแบคทีเรีย
RNA
Types of RNA The three main types of RNA are: ชนิดของอาร์เอ็นเอ (Types of RNA) อาร์เอ็นเอหลัก 3 ชนิด ได้แก่:
|