
|
ปริมาณ (Quantity) ปริมาณทางวิทยาศาสตร์อาจจำแนกได้ 2 แบบ คือ (1) การจำแนกปริมาณตามคำนิยาม (1.1) ปริมาณมูลฐาน (Basic units) คือปริมาณที่เกิดจากการนิยาม หรือการตกลงร่วมกันกำหนดขึ้น เพื่อเป็นค่ามาตรฐานเดียวกัน ปัจจุบันใช้หน่วย เอสไอ (S.I. Unit) หรือ International System of Unit มี 7 หน่วย คือ
หน่วยมูลฐาน (Base Unit) 1. เมตร (Metre) คือ ความยาวของทางเดินของแสงในสุญญากาศในช่วงเวลา 1/299 792 458 ของหนึ่งวินาที 2. กิโลกรัม (Kilogram) คือ หน่วยมวลสาร ซึ่งมีค่าเท่ากับมวลสารต้นแบบระหว่างประเทศ 1 กิโลกรัม (the international prototype of the kilogram) 3. วินาที (Second) คือ ช่วงระยะเวลาเท่ากับ 9 192 631 770 คาบของคลื่นของการแผ่รังสีที่สมนัยกับการเปลี่ยนระดับไฮเปอร์ไฟน์ (hyperfine levels) 2 ระดับของอะตอมซีเซียม-133 ของสถานะพื้นฐาน (the ground state of the cesium 133 atom) 4. แอมแปร์ (Ampere) คือ ค่ากระแสไฟฟ้าคงที่ และรักษาให้คงที่เมื่อปล่อยค่ากระแสไฟฟ้า 5. เคลวิน (Kelvin) เป็นหน่วยของอุณหภูมิเทอร์โมไดนามิกส์ (Thermodynamic temperature) มีค่าเท่ากับ 1/273.16 ของอุณหภูมิเทอร์โมไดนามิกส์ 6. โมล (Mole) คือ ปริมาณมวลสารย่อย (amount of substance) ของระบบที่ประกอบด้วยองค์ประกอบมูลฐาน (elementary entities) หลายองค์ประกอบ มีจำนวนเท่ากับจำนวนอะตอมของคาร์บอน-12 หนัก 0.012 กิโลกรัม จะใช้โมลก็ต่อเมื่อมีการกำหนดองค์ประกอบมูลฐาน และอาจเป็น อะตอม(atoms), โมเลกุล (molecules), ไอออน (ions), อิเล็กตรอน (electrons), อนุภาคอื่นๆ (other particles) หรือ กลุ่มจำเพาะเจาะจงของอนุภาคดังกล่าว 7. แคนเดลา (Candela) คือ ความเข้มการส่องแสง (luminous intensity) ในทิศทางที่กำหนด ความเข้มการส่องแสงของแหล่งกำเนิดซึ่งปลดปล่อยรังสีเอกรงค์ (monochromatic radiation) ด้วยความถี่ 540 x 1012 เฮิรตซ์ และมีความเข้มของการแผ่รังสีในทิศทางดังกล่าวเท่ากับ 1/683 วัตต์ต่อสเตอเรเดียน(watt per steradian) 1.2 ปริมาณอนุพันธ์ (derived units) ปริมาณอนุพันธ์ (derived units) คือปริมาณที่เกิดจากความสัมพันธ์ของปริมาณมูลฐาน
(2) ปริมาณตามลักษณะเฉพาะ (2.1) ปริมาณสเกลลาร์ (Scalar) (2.2) ปริมาณเวคเตอร์ (Vector)
(1) การเขียนเวคเตอร์ (1.1) ใช้ตัวอักษร เช่น (1.2) ใช้ลูกศรแทน โดยความยาวลูกศรจะแสดงขนาด และหัวลูกศรแสดงทิศทางของเวกเตอร์ เช่น เวคเตอร์ A ขนาด 4 หน่วย ทิศทำมุม 45๐ กับแกน +x
3.2 การหาเวคเตอร์ลัพธ์ (การบวกหรือลบเวคเตอร์) 3.2.1 การหาแรงลัพธ์โดยวิธีเขียนเวคเตอร์ของแรง กระทำได้ 2 วิธี คือ (ก) แบบหางต่อหัว เขียนเวกเตอร์แรกก่อน จากนั้นเอาหางของเวคเตอร์ ที่ 2 มาต่อที่หัวของเวคเตอร์แรก และทำต่อไปเรื่อยๆ ผลลัพธ์ที่ได้ คือ เวกเตอร์ที่ลากจากหางของเวคเตอร์แรกไปสิ้นสุดที่หัวของเวคเตอร์สุดท้าย ตัวอย่าง จงหาเวคเตอร์ลัพธ์ของ เวคเตอร์ B + A + C
(ข) แบบหางต่อหาง กระทำได้โดยการนำหางของทั้งสองเวกเตอร์มาต่อชนกันแล้วสร้างรูปสี่เหลี่ยมด้านขนาน ผลลัพธ์ที่ได้คือ เวกเตอร์ที่ลากจากจุดที่ หางต่อกัน ไปจนถึงมุม ทแยงตรงข้ามของรูปสี่เหลี่ยมด้านขนานนั้น เช่น...
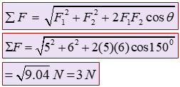
การรวมเวคเตอร์ โดยการเขียนรูป 1. ขนาดของเวคเตอร์ลัพธ์ หาได้จากการวัดความยาวของเส้นลูกศร (อาจต้องเทียบอัตราส่วน) 3.2.2 การหาขนาดและทิศทางของแรงลัพธ์โดยการคำนวณ แยกพิจารณาได้เป็น 3 ลักษณะคือ 1. กรณีทำมุมแหลมต่อกัน
ตัวอย่างที่ 1 จากรูป
1. 2. 3. 4. ตัวอย่างที่ 2 แรง 2 แรงขนาด 3 N และ 4 N จงหาผลรวมของแรงหรือแรงลัพธ์ 1. ทำมุมกัน 0๐ 2. ทำมุมกัน 180๐
3. ทำมุมกัน 180๐
ขนาด ทิศทาง ข. 53๐
ขนาด ทิศทาง
ขนาด ทิศทาง
1. 12 N 2. 10 N 3. 4. 8 N แนวคิด ................................................................................................................................
แนวคิด จากคำถามต้องหาแรงลัพธ์
ขนาด ทิศทาง
1. 80 หน่วย แนวคิด ................................................................................................................................
1. 8.4 การแตกเวคเตอร์ (การหาเวคเตอร์ย่อย) แนวคิด “เวคเตอร์ใดๆจะมีเวคเตอร์ย่อย 2 เวคเตอร์ เสมอและ 2 เวคเตอร์นั้นจะตั้งฉากกันหรือไม่ก็ได้”
การคำนวณค่าเวคเตอร์ย่อย กรณีที่ 1 เวคเตอร์ย่อยตั้งฉากกัน
กรณีที่ 2 เวคเตอร์ย่อยไม่ตั้งฉากกัน
แรง 8 หน่วย แรง 8 หน่วย 12 √3 หน่วย
|