
|
ปริมาณที่ต้านสภาพการเคลื่อนที่มีค่ามากหรือน้อย คือ มวล (m) มวลปริมาณสเกลาร์ในระบบเอสไอ เป็นหน่วยฐาน มีหน่วยเป็นกิโลกรัม (kg) เขียนแทนได้ด้วยลูกศรเวกเตอร์ แรงขนาด 10 N ดึงวัตถุไปทางขวา
แรงขนาด 10 √2 N ดึงวัตถุทำมุม 45° กับแนวระดับ
แรงขนาด 50 N กดลงบนวัตถุ ในแนวดิ่ง
แรงเป็นปริมาณเวกเตอร์เมื่อมีแรงมากกว่า 2 แรง มากระทำบนวัตถุอันเดียวกัน ก็สามารถรวมกันได้ ผลรวมของแรงหลายแรงเขียนเป็น ΣF (ซิกมา F) เรียกว่า แรงลัพธ์ ( Resultant force )
การรวมเวกเตอร์ของแรง 1. สร้างรูปหลายเหลี่ยมปิด
2. สร้างรูปสี่เหลี่ยม
3. แยกฝนระบบพิกัดฉาก (แกน x , แกน y)
4. ใช้สูตร
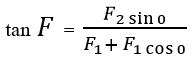
ขนาดของแรง เมื่อ 0 เป็นมุมระหว่าง F1 กับ F2 ทิศของแรงลัพธ์
ตัวอย่างที่ 1 มีแรง F1 = 3 N และแรง F2 = 4 N กระทำวัตถุดังรูป จงหาผลลัพธ์
ขนาด Fลัพธ์ = F1 - F2 = 3 - 4 = -1 มีแรงลัพธ์ขนาด 1N ทิศไปทางซ้ายมือ
ตัวอย่างที่ 2
= 3 + 4 = 3 N = 5 N = F2 sin 60 = Fผลลัพธ์ = = = ทิศของแรงลัพธ์
ตัวอย่างที่ 3
Fลัพธ์ = F1 + F2 มีแรงกระทำวัตถุ 7 นิวตัน ทิศไปทางขวามือ
กฎการเคลื่อนที่ของนิวตัน 1. กฎการเคลื่อนที่ข้อที่ 1 ของนิวตัน
กฎการเคลื่อนที่ข้อที่หนึ่งของนิวตันนี้มีชื่อเรียกอีกอย่างหนึ่ง คือ กฎ (Low of inertia)
เมื่อ ตัวอย่าง การเคลื่อนที่ของวัตถุที่เป็นไปตามกฎการเคลื่อนที่ข้อที่หนึ่งของนิวตัน เมื่อผู้โดยสารยืนอยู่ในรถประจำทางหยุด และรถโดยสารออกรถอย่างกะทันหัน ผู้โดยสารจะเซไปทางด้านหลังและเมื่อหยุดรถกะทันหัน จะเซไปข้างหน้า เป็นเพราะว่าผู้โดยสารเป็นไปตามกฎการเคลื่อนที่ข้อที่หนึ่งของนิวตัน 2. กฎการเคลื่อนที่ข้อที่ 2 ของนิวตัน
หรือ
ดังนั้น หรือ เมื่อเปลี่ยนความสัมพันธ์ในเชิงการแปรผันเป็นสมการจะได้ F = ka ในระบบเอสไอใช้หน่วยของแรงเป็นนิวตัน โดยกำหนดให้แรง 1 นิวตันเป็นแรงที่ทำให้วัตถุมวล 1 kg เคลื่อนที่ด้วยความเร่ง 1 m/s2 ดังนั้น ถ้า F = 1N , m = 1 kg จะได้ a = 1 m/s2 1N = k ( 1 kg) ( 1 m/s2) k = 1 จึงเขียนสมการใหม่เป็น ΣF เป็นแรงลัพธ์ มีทิศเดียวดับความเร่ง 3. กฎการเคลื่อนที่ ข้อที่ 3 ของนิวตัน กฎการเคลื่อนที่ข้อที่สามของนิวตัน คือ เมื่อแรงกระทำกับวัตถุ ทุกแรงกิริยาจะต้องมีแรงปฏิกิริยาที่มีขนาดเท่ากันและทิศตรงข้ามเสมอ ออกแรงผลักผนังดังรูป
ให้ แรงทั้งสองนี้ เรียกว่า แรงคู่กิริยาปฎิริยา
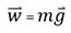
แรงที่ดึงเส้นเชือกจะส่งผ่านเส้นเชือก ทำให้เส้นเชือกดึงวัตถุด้วยแรงขนาดเท่ากัน ถ้ามวลของเชือกน้อยมากเมื่อเทียบกับมวลวัตถุ แรงที่เส้นเชือกดึงวัตถุนี้เรียกว่าแรงดึง (Tension) หรือความดึง โดย น้ำหนัก (
เมื่อ น้ำหนักของมวล m1 จะได้ w1 = m1 g น้ำหนักของมวล m2 จะได้ w2 = m2 g อัตราส่วนระหว่างน้ำหนักและมวลทั้งสองเป็น จะได้ว่าอัตราส่วนของน้ำหนักของวัตถุ 2 ก้อน จะเท่ากับอัตราส่วนของมวลของวัตถุทั้งสอง เมื่ออยู่บริเวณเดียวกัน เราจึงสามารถหาน้ำหนักของวัตถุใด ๆ เทียบกับน้ำหนักของมวลมาตรฐาน โดยทั่วไปคนนิยมที่จะบอกน้ำหนักในหน่วยของมวล เช่น ส้ม มีน้ำหนัก 1 kg ซึ่งแท้จริงแล้ว หมายถึง น้ำหนักของส้มเทียบกับน้ำหนักของมวลมาตรฐานมีค่าเท่ากัน การวัดน้ำหนักของวัตถุ ทำได้โดยการใช้เครื่องชั่งสปริงหรือใช้คานเปรียบเทียบน้ำหนักที่เรียกกว่า ตาชั่งสองแขน การวัดน้ำหนักโดยใช้ตาชั่งสองแขนจะอ่านค่าได้ถูกต้องเมื่อแขนอยู่ในตำแหน่งสมดุล มวลมาตรฐานเท่ากับมวลของวัตถุ ดังนั้นน้ำหนักมาตรฐานก็เท่ากับน้ำหนักของวัตถุ การวัดน้ำหนักโดยใช้ตาชั่งสปริง
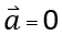
เมื่อโลกดึงดูดวัตถุด้วยแรง m แรงดึงเชือกมีค่าเท่าใด ตาชั่งสปริงจะอ่านค่าได้เท่านั้นด้วย ถ้าแรงดึงเชือก T เปลี่ยนไป ค่าที่อ่านได้บนตาช่างจะเปลี่ยนไปด้วย m การใช้กฎการเคลื่อนที่ของนิวตัน 1. กฎการเคลื่อนที่ข้อที่หนึ่ง วัตถุจะคงสภาพอยู่นิ่งหรือสภาพการเคลื่อนที่ด้วยความเร็วคงตัวในแนวตรงนอกจากแรงลัพธ์ซึ่งมีค่าไม่เป็นศูนย์มากระทำ จากกฎข้อนี้อธิบายในฟิสิกส์เรื่องสมดุล คือ ผลรวมของแรงที่กระทำกับวัตถุมีค่าเป็นศูนย์ ΣF = 0 นั่นคือ ความเร่งเป็นศูนย์ (a = 0) ตัวอย่างเช่น
วัตถุจะสมดุลเมื่อผลรวมของแรงทั้งหมดเป็นศูนย์ จะพิจารณาเพียงแกน X หรือแกน Y อย่างเดียวว่าเป็นศูนย์ไม่ได้ 2. กฎการเคลื่อนที่ข้อที่สอง เมื่อมีแรงลัพธ์ซึ่งมีค่าไม่เป็นศูนย์มากระทำกับวัตถุ วัตถุนั้นจะมีความเร่งในทิศเดียวกับแรงลัพธ์ที่มากระทำ และขนาดความเร่งนี้จะแปรผันตรงกับขนาดของแรงลัพธ์และแปรผกผันกับมวลของวัตถุ จากกฎข้อนี้อธิบายวัตถุที่เคลื่อนที่มีความเร็วเปลี่ยนแปลงจากเดิม วัตถุจะมีความเร่ง
m เป็นมวลของวัตถุ ทิศของความเร่ง a จะมีทิศเดียวกับแรงลัพธ์ ตัวอย่างเช่น ออกแรง F คงตัวดึงวัตถุมวล m
F = ma …….(1) และ N = mg …….(2) ดึงวัตถุมวล m ขึ้นด้วยความเร่ง a
ΣF = ma T – mg = ma
3. กฎการเคลื่อนที่ข้อที่สาม ทุกแรงกิริยาจะต้องมีแรงปฏิกิริยาที่มีขนาดเท่ากันและมีทิศตรงข้ามเสมอ จากกฎข้อนี้อธิบายว่าเมื่อมีแรงกิริยากระทำวัตถุ จะต้องมีแรงปฏิกิริยาที่มีขนาดเท่ากันและมีทิศตรงข้าม โดยมีข้อสังเกตดังนี้
2. แรงคู่กิริยา-ปฏิกิริยา มีขนาดเท่ากันและทิศตรงกันข้ามเสมอ ไม่ว่าจะระบบจะหยุดนิ่งหรือเคลื่อนที่ 1. พิจารณาง่ามีแรงใดบ้างกระทำต่อวัตถุนั้น โดยเขียนแผนภาพแทนวัตถุ แล้วเขียนแรงภายนอกทุกแรงพร้อมทิศทางที่กระทำกับวัตถุนั้น
ข้อสังเกต แรงที่ใช้เขียนเวกเตอร์แทนแรงบนแผนภาพ ได้แก่ T เป็นแรงดึงในเส้นเชือก 2. เมื่อระบบการเคลื่อนที่มีวัตถุหลายตัว สามารถเขียนแผนภาพแยกจากกัน (Free body diagram F.B.D.) เพื่อสะดวกในการพิจารณาตามกฎการเคลื่อนที่โดยถือว่าระบบเคลื่อนที่พร้อมกัน ความเร่งต้องเท่ากัน ตัวอย่างเช่น รูปแบบที่ 1
3. เมื่อมีแรงกระทำวัตถุหลายแรง จะต้องใส่ระบบพิกัดฉาก x แกน y กับระบบวัตถุ โดยให้แกนใดแกนหนึ่งอยู่แนวเดียวกับความเร่ง เมื่อปรากฏว่ามีแรงบางแรงไม่อยู่ในแนวแกน x หรือ y ให้แยกแรงนั้นเป็นแรงย่อยตามแนวแกน ตัวอย่างเช่น
แยก F.B.D.
พิจารณาที่มวล M
ตัวอย่างที่ 2 ออกแรงดึง 24 N กับมวล m1 = 1 kg. ดังรูป ซึ่งมีเชือกผูกกับมวล m21 = 2 kg. เมื่อพื้นลื่น จงคำนวณหา 1. ความเร่งของระบบ 2. แรงดึงเชือก T
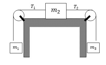
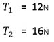
ตัวอย่างที่ 3 วัตถุ m1 = 1 kg, m2 = 2 kg. และ m3 = 2 kg. ผูกด้วยเชือกคล้องผ่ารอกกลื่นและพื้นลื่นดังรูป เมื่อระบบเคลื่อนที่ จงหา
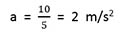
จากสมการ (1) + (2) + (3) และความเร่ง a เท่ากัน แทนค่า a ใน (1) และ (3) ตัวอย่างที่ 4 วัตถุมวล m = 10 kg ไกลลงตามพื้นเอียงที่มีแรงเสียงเสียดทาน 5 N พื้นเอียงทำมุม 30 องศา กับแนวราบ จงหาความเร่งของวัตถุและแรงปฏิกิริยาในแนวฉาก วิธีทำ วัตถุไกลลงพื้นเอียง ความเร่งอยู่แนวเดียวกับพื้นเอียง แยกแรง mg
ตัวอย่างที่ 5 มวล m เป็น 2 kg. ผูกอยู่กับเชือกและปลายเชือกคล้องกับตาชั่งสปริง ดังรูป จงหาค่าน้ำหนักที่อ่านได้บนตาชั่ง
ข้อสังเกต 2. เมื่อทิศของความเร่งของวัตถุ
ตัวอย่างที่ 6 ชายคนหนึ่งมวล 80 kg ยืนอยู่บนตาชั่งวางอยู่ในลิฟต์ จงหาน้ำหนักที่อ่านจากตาชั่ง เมื่อ วิธีทำ ลิฟต์อยู่นิ่ง a = 0
ลิฟต์เคลื่อนที่ขึ้นด้วยความหน่วง 1 m/s2 แสดงว่าทิศความเร่งลง ช่วงนี้เป็นลักษณะลิฟต์เบรกก่อนหยุด
ลิฟต์ขาดและตกอิสระ
ไม่สามารถอ่านค่าน้ำหนักบนตาชั่งได้ เพราะแรง N = 0 เราเรียก สภาวะนี้ว่า “สภาวะเหมือนไร้น้ำหนัก”
|