

วัตถุเคลื่อนที่ด้วยความเร็วคงที่ (ความเร่งเป็นศูนย์) สูตรที่ใช้ในการคำนวณ คือ
สูตรเดียว วัตถุเคลื่อนที่ด้วยความเร่งคงที่ (ความเร็วเพิ่มหรือลดลงอย่างสม่ำเสมอ) สูตรที่ใช้ในการคำนวณจะมี 5 สูตร โดยที่ตัวแปรที่เกี่ยวข้องจะมีทั้งหมด 5 ตัว คือ

s = การกระจัดของวัตถุ มีหน่วยเป็น เมตร (m)
a = ความเร่งของวัตถุ มีหน่วยเป็น เมตรต่อวินาที2
v = ความเร็วปลายของวัตถุ มีหน่วยเป็น เมตรต่อวินาที (m/s)
u = ความเร็วต้นของวัตถุ มีหน่วยเป็น เมตรต่อวินาที (m/s)
t = ระยะเวลาที่เคลื่อนที่ มีหน่วยเป็น วินาที (s)


ข้อสังเกต
1. ตัวแปรทั้งหมดมี 5 ตัวแปร ในแต่ละสูตรมี 4 ตัวแปร ทุกสูตรจะหายไป 1 ตัวแปร ซึ่งจะเป็นวิธีการเลือกสูตรไปใช้ (ดูตัวแปรที่ไม่มีส่วนเกี่ยวข้อง)
2. ในการแก้สมการอย่างน้อยต้องรู้ 3 ตัวแปร เพื่อนำไปแทนค่าในสูตรเพื่อหาตัวแปรที่เหลือ
3. ในการแทนค่าตัวแปรที่เป็นเวกเตอร์
ต้องคำนึงถึงทิศทางทุกครั้ง ใช้เครื่องหมาย + และ - เป็นตัวกำหนดทิศทาง ส่วน t ที่เป็นสเกลาร์จะเป็นเครื่องหมาย + เสมอ
4. ระวัง !! ทิศทางของการกระจัด ต้องเป็นเวกเตอร์ที่ลากจากจุดเริ่มต้นไปยังจุดที่พิจารณา


กราฟที่เกี่ยวกับการเคลื่อนที่ มีด้วยกัน 3 แบบ คือ กราฟระหว่างการกระจัด (S) กับเวลา (t) , กราฟระหว่างความเร็ว (v) กับเวลา (t) และกราฟระหว่างความเร่ง (a) กับเวลา (t) โดยวิธีการคำนวณกราฟทั้ง 3 แบบนี้ใช้หลักการอยู่ 2 อย่าง คือ (แกน y X แกน x)

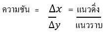
ความหมายของความชัน = ผลหารของตัวแปรแกน y กับแกน x
ความหมายของพื้นที่ใต้กราฟ = ผลคูณของตัวแปรแกน y กับแกน x



กราฟระหว่างการกระจัด (S) กับเวลา (t)


ความชันระหว่างกราฟ S กับ t = ความเร็วของวัตถุ (v)
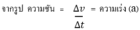
กราฟระหว่างความเร็ว (v) กับเวลา (t)


ความชันระหว่างกราฟ v กับ t = ความเร่งของวัตถุ (a)
กราฟระหว่างความเร่ง (a) กับเวลา (t)

จากรูป พื้นที่ใต้กราฟ = (a - t) = ความเร็วที่เปลี่ยนไป ( )
สรุป ความหมายของปริมาณต่างๆ จากกราฟ








|