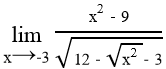
1. คือข้อใด |
| |
1.  |
2.  |
| |
3. 4 |
4. หาค่าไม่ได้ |
| |
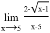
2. ค่าของ มีค่าเท่ากับข้อใด |
| |
1. -36 |
2. 3 |
| |
3. 36 |
4. หาค่าลิมิตไม่ได้ |
| |
|
|
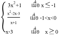
3. ให้ 
พิจารณาข้อความต่อไปนี้
(1) f มีความต่อเนื่องที่ x = -1 (2) f มีความต่อเนื่องที่ x = 0 |
| |
1. (1) ถูก (2) ผิด |
2. (1) ผิด (2) ถูก |
| |
3. ถูกทั้ง (1) และ (2) |
4. ผิดทั้ง (1) และ (2) |
| |
|
|
4. กำหนดให้ ข้อใดถูก |
| |
1. f ความต่อเนื่องที่ x = -1 แต่ไม่ต่อเนื่องที่ x = 3 |
2. f ความต่อเนื่องที่ x = -1 และ x = 3 |
| |
3. f ไม่ต่อเนื่องที่ x = -1 แต่ต่อเนื่องที่ x = 3 |
4. f ไม่ต่อเนื่องที่ x = -1 และ x = 3 |
| |
|
|
5. กำหนดให้ เมื่อ a และ b เป็นจำนวนจริง ถ้า f เป็นฟังก์ชันต่อเนื่องบนช่วง (-∞,∞) แล้ว a + b มีค่าเท่ากับข้อใด |
| |
1. -1 |
2. 0 |
| |
3. 1 |
4. 2 |
| |
|
|
| 6. กำหนดให้ f(x) = 3x2 - 2x - 1 และ a แทนอัตราการเปลี่ยนแปลงเฉลี่ยของ f เทียบกับ x เมื่อ x เปลี่ยนจาก 1 ไปเป็น 2 b แทนอัตราการเปลี่ยนแปลงเฉลี่ยของ f เทียบกับ x ขณะที่ x = 2 ข้อใดถูก |
| |
1. a = 7, b = 10 |
2. a = 10, b = 7 |
| |
3. a = , b = 10 |
4. a = , b = 7 |
| |
|
|
7. ให้ f(x) = Ax3+ x2 - x + B เมื่อ A, B เป็นจำนวนจริงใด ๆ ถ้า f(1) = A + และ f ' (1) = 4 แล้วข้อใดถูก |
| |
1. A + B = 1 |
2. A + B =  |
| |
3. A - B = 1 |
4. A - B =  |
| |
|
|
| 8. กำหนดให้ k(x) = 3x2 -1 + f (x) ถ้า f ' ( 2 ) = -1 แล้ว k ' (2) มีค่าเท่ากับข้อใด |
| |
1. 10 |
2. 11 |
| |
3. 12 |
4. 13 |
| |
|
|
9. ถ้ากำหนดให้ f เป็นฟังก์ชันที่สามารถหาอนุพันธ์ได้ โดยที่ f (1) = 5 และมีค่าของ f ' (1) = -10 ถ้า y = ( x3- 2x2) ∙ f(x) จงหาค่าของ , x = 1 เท่ากับข้อใด |
| |
1. 5 |
2. 10 |
| |
3. 12 |
4. 15 |
| |
|
|
10. กำหนดให้ g (x) = [f (x) ]4 ถ้า f (1) = 2 และ f ' (x) = แล้ว ค่าของ g ' (1) เท่ากับข้อใด |
| |
1. 100 |
2. 120 |
| |
3. 140 |
4. 160 |
| |
|
|
11. กำหนดให้ f (x) = (3x - 2)2 + แล้ว f ' (x2) - f ' (1) มีค่าเท่ากับข้อใด |
| |
1.  |
2.  |
| |
3.  |
4.  |
| |
|
|
| 12. กำหนดเส้นโค้ง y = ax2 + bx + c ผ่านจุด (1,1) เส้นสัมผัสเส้นโค้งที่จุด (2,1) ตั้งฉากกับเส้นตรง x + 2y -1 = 0 ดังนั้นค่าของ a + b เท่ากับเท่าใด |
| |
1. -4 |
2. 1 |
| |
3. 3 |
4. 11 |
| |
|
|
| 13. ให้ m1 และ m2 เป็นความชันของเส้นสัมผัสกราฟ y = 2x2 - 8x + 5 ณ จุดที่กราฟนี้ตัดกับเส้นตรง y + 9x - 6 = 0 ค่า m1 + m2 เท่ากับข้อใด |
| |
1. -18 |
2. -17 |
| |
3. -15 |
4. -14 |
| |
|
|
14. ถ้า y = 2x3 - 3x2 + 12x + 5 และ + y = ax2 + cx – 13 แล้ว ค่าของ a + b + c คือข้อใด |
| |
1. 23 |
2. 41 |
| |
3. 35 |
4. 40 |
| |
|
|
| 15. กำหนดให้ f(x) = x3 + Ax2 + Bx + 4 เมื่อ A, B เป็นจำนวนจริง ถ้า f(1) = 4 และ f ' (0) = 1 แล้ว f มีค่าต่ำสุดสัมพัทธ์เมื่อ x มีค่าเท่ากับข้อใด |
| |
1.  |
2. 1 |
| |
3.  |
4. 2 |
| |
|
|
16. กำหนดให้ f(x) = 2x + โดยที่ c > 0 ถ้า f(x) มีค่าสูงสุดที่ x = - แล้ว c มีค่าเท่ากับข้อใด |
| |
1.  |
2.  |
| |
3. 3 |
4. 9 |
| |
|
|
| 17. ถ้าต้องการออกแบบกระป๋องรูปทรงกระบอกฐานกลมและมีฝาปิด โดยต้องให้มีความจุ 54 ลูกบาศก์นิ้ว แต่ต้องการให้มีพื้นที่ผิวน้อยที่สุด อยากทราบว่า ความยาวของรัศมีของฐาน และความสูงจะเป็นเช่นไร ตามลำดับ |
| |
1. และ นิ้ว |
2. และ นิ้ว |
| |
3. และ นิ้ว |
4. และ นิ้ว |
| |
|
|
18. ถ้า g(x) = (x3 - x2 + 5 )"และ h(x) = แล้ว คือข้อใด |
| |
1.  |
2.  |
| |
|
|
| |
3.  |
4.  |
| |
|
|
19. กำหนดให้ v(t) = t2 - 4t + 10 เป็นความเร็วของการเคลื่อนที่ของวัตถุ ณ เวลา t และมีหน่วยเป็นเมตรต่อวินาที ขณะที่ t = 0 วัตถุเคลื่อนที่ได้ระยะทาง เมตร เมื่อความเร่งของวัตถุเท่ากับ 0 เมตร/วินาที2 ความเร็ว และระยะทางมีค่าเท่ากับ |
| |
1. 6 เมตร/วินาที, 16 เมตร |
2. 6 เมตร/วินาที, 8 เมตร |
| |
3. 16 เมตร/วินาที, 6 เมตร |
4. 6 เมตร/วินาที, เมตร |
| |
|
|
20. จากรูปจงหาว่า พื้นที่ส่วนที่แรเงาเท่ากับกี่ตารางหน่วย

|
| |
1. ตารางหน่วย |
2. ตารางหน่วย |
| |
3. ตารางหน่วย |
4. ตารางหน่วย |