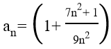
1. ถ้าพจน์ที่ n ของลำดับอนันต์คือ ลำดับอนันต์นี้มีลักษณะอย่างไร |
| |
1. เป็นลำดับไดเวอร์เจนต์เพราะหาลิมิตไม่ได้ |
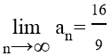
2. เป็นลำดับคอนเวอรเจนต์ และ  |
| |
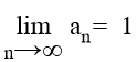
3. เป็นลำดับคอนเวอร์เจนต์ และ  |
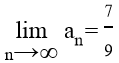
4. เป็นลำดับคอนเวอรเจนต์ และ  |
| |
2. มีค่าตรงกับข้อใด |
| |
1. -1 |
2. 0 |
| |
3. 1 |
4. 5 |
| |
|
|
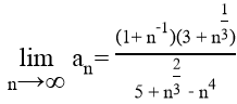
3. จงหาลิมิตของลำดับอนันต์  |
| |
1. 3 |
2. 3 |
| |
3. 9 |
4. 0 |
| |
|
|
4. แล้ว a มีค่าเท่ากับข้อใด |
| |
1.  |
2.  |
| |
3.  |
4.  |
| |
|
|
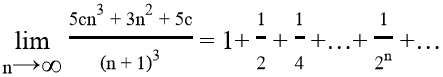
5. ถ้า c เป็นค่าคงตัว และถ้า แล้ว c มีค่าเท่ากับ |
| |
1.  |
2. 10 |
| |
3.  |
4.  |
| |
|
|
| 6. นายพิทักษ์ชื้อจักรยานจากบริษัทแห่งหนึ่งด้วยเงินผ่อน ราคา 15,300 บาท กำหนดผ่อนบริษัททุกเดือนเดือน แรกจ่าย 100บาท ส่วนเดือนต่อๆ ไปด้องจ่ายเพิ่มขึ้นทุกเดือนเดือนละ 100 บาท เขาต้องใช้เวลากี่เดือนจึงจะชำระค่าจักรยานนี้หมด |
| |
1. 12 เดือน |
2. 15 เดือน |
| |
3. 17 เดือน |
4. 18 เดือน |
| |
|
|
7. ผลบวกอนันต์ของ คือ |
| |
1.  |
2.  |
| |
3. 2 |
4.  |
| |
|
|
8. ถ้าผลบวกของอนุกรมอนันต์ เท่ากับ S ผลบวกของอนุกรมอนันต์ มีลักษณะอย่างไร |
| |
1. เป็นอนุกรมคอนเวอร์เจนต์ ซึ่งผลบวกเท่ากับ S |
2. เป็นอนุกรมคอนเวอร์เจนต์ ซึ่งผลบวกเท่ากับ S |
| |
3. เป็นอนุกรมคอนเวอร์เจนต์ ซึ่งผลบวกเท่ากับ S |
4. เป็นอนุกรมคอนเวอร์เจนต์ ซึ่งผลบวกเท่ากับ S |
| |
|
|
| 9. ถ้า an = (2n + 3)2 แล้ว ผลบวกของสิบพจน์แรกของอนุกรมนี้เท่ากับข้อใด |
| |
1. 2,290 |
2. 3,290 |
| |
3. 3,270 |
4. 5,370 |
| |
|
|
| 10. จงหาผลบวกของ 18 พจน์แรกของอนกรม 1 + 9 + 25 + 49 + 81 + ... |
| |
1. 7,734 |
2. 7,751 |
| |
3. 7,753 |
4. 7,770 |
| |
5. 9,138 |
|
| |
|
|
| 11. ผลบวกของอนุกรม 1 + (1 + 3) + (1 + 3 + 5)+ (1 + 3 + 5 +7) +... + (1+3 + 5+ ...+29) เท่ากับข้อใด |
| |
1. 360 |
2. 620 |
| |
3. 1,080 |
4. 1,240 |
| |
|
|
12. จงหาค่าของ  |
| |
1.  |
2.  |
| |
3.  |
4. ไม่มีข้อใดถูก |
| |
|
|
13. ผลบวกของอนุกรม มีค่าตรงกับข้อใด |
| |
1.  |
2.  |
| |
3.  |
4.  |
| |
|
|
14. เป็นอนุกรมอนันต์ ค่าของ คือข้อใด |
| |
1. 3 |
2. 5 |
| |
3. 2 |
4. 7 |
| |
|
|
15. ผลบวกของอนุกรม เป็นเท่าไร |
| |
1.  |
2.  |
| |
3.  |
4.  |
| |
|
|
16. จงหาผลบวกของ  |
| |
1. 3 |
2. -3 |
| |
3. 5 |
4.  |
| |
|
|
17. ค่าของ เท่ากับข้อใด |
| |
1. 6 |
2. 3 |
| |
3.  |
4. 7 |
| |
|
|
18. ถ้า a1, a2, a3 เป็นลำดับเลขคณิตแล้วค่าของ  |
| |
1.  |
2.  |
| |
3.  |
4.  |
| |
|
|
19. ถ้า โดยที่ a และ b เป็นจำนวนเต็มบวกซึ่ง ห.ร.ม. ของ a กับ b เป็น 1 แล้ว a+b มีค่าเท่ากับข้อใด |
| |
1. 329 |
2. 240 |
| |
3. 569 |
4. 640 |
| |
5. 601 |
|
| |
|
|
20. ผลบวกอนันต์ของ มีค่าตรงกับข้อใด |
| |
1. 2 |
2. 3 |
| |
3. 6 |
4. หาผลบวกอนันต์ไม่ได้ |