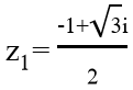
1. มีค่าเท่ากับข้อใด |
| |
1.  |
2.  |
| |
3. -40 |
4. -30 |
| |
| 2. ถ้า z1= 1 + 2i, z2 = 2 + 3i และ z3 = 3 + 4i แล้ว จะได้ว่า 5z1z2 - 4z2z3 เท่ากับข้อใด |
| |
1. 4 - 33i |
2. 33 - 4i |
| |
3. -33 + 4i |
4. -4 + 33i |
| |
|
|
| 3. ถ้า x,y เป็นจำนวนจริงที่สอดคล้องสมการ (x + yi)(2 - 3i) = 5 + 3i จะได้ว่า x + y มีค่าเท่ากับเท่าไร |
| |
1.  |
2.  |
| |
3.  |
4.  |
| |
|
|
4. ให้ จงหาค่าของ z |
| |
1. 3 – 9i |
2.  |
| |
3. -3 - 9i |
4.  |
| |
|
|
| 5. ถ้า z = (4,-3) เป็นจำนวนเชิงซ้อน และ z-1 = (x,y) เป็นอินเวอร์สการคูณของ z แล้ว x – y เท่ากับจำนวนเชิงซ้อนในข้อใด |
| |
1. 0.02 |
2. 0.03 |
| |
3. 0.04 |
4. 0.05 |
| |
|
|
6. z = -1 + แล้ว z10 คือข้อใด |
| |
1. 512 + 512 |
2. 512 - 512 |
| |
3. -512 - 512 |
4. -512 + 512 |
| |
|
|
7. ค่าของ เท่ากับเท่าใด |
| |
1. 32 + 32i |
2. -32 + 32i |
| |
3. -32 - 32i |
4. 32 - 32i |
| |
|
|
8. ถ้า z1 = (1,2) และ z2 = (3,4) แล้ว เท่ากับข้อใด |
| |
1. (16, 36) |
2. (16, -36) |
| |
3. (-20, -48) |
4. (20, -48) |
| |
|
|
| 9. ถ้า (1,- 2)(x,- 3) = (y,- 5) - (4,- 2y) แล้วคอนจูเกตของ (2x,4y) - (4x,2y) คือข้อใด |
| |
1. 3 + i |
2. -3 - i |
| |
3. i - 3 |
4. 3 - i |
| |
|
|
10. ให้ z เป็นจำนวนเชิงซ้อน และ เป็นสังยุคของจำนวนเชิงซ้อน z ถ้า และ อินเวอร์สการคูณของ z2 คือข้อใด |
| |
1. 2 – 3i |
2. 2 + 3i |
| |
3. 4 – 3i |
4. 4 + 3i |
| |
|
|
| 11. ถ้า z1 = 4 + 3i, z2 = 5 + 12i และ |z1z2z3 | = 130 แล้ว | z3 | มีค่าเท่าไร |
| |
1. 2 |
2. 3 |
| |
3. 4 |
4. 5 |
| |
|
|
| 12. กำหนดให้ a + bi เป็นจำนวนเชิงซ้อน ซึ่ง (3 + 4i )(a + bi )(-12 - 5i) = 2 - 4i ค่าของ |a + bi |เป็นเท่าไร |
| |
1.  |
2.  |
| |
3.  |
4.  |
| |
|
|
| 13. กำหนดให้ a และ b เป็นจำนวนจริง จงหาค่าของ | a + bi | เมื่อ (5 - 12i)2 (a + bi)2 = i(-12 + 5i )2 |
| |
1. 1 |
2. 2 |
| |
3. 13 |
4. 169 |
| |
|
|
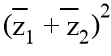
14. ให้ และ
จงหาค่า  |
| |
1.  |
2.  |
| |
3.  |
4.  |
| |
|
|
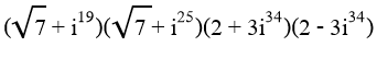
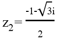
15. ถ้า แล้ว z1z2 เท่ากับข้อใด |
| |
1. 4(cos285๐ + i sin285๐) |
2. 4 (cos285๐ + i sin285๐) |
| |
3. 8(cos285๐ + i sin285๐) |
4. 16(cos285๐ + i sin285๐) |
| |
|
|
16. ค่าของ เท่ากับข้อใด |
| |
1. 81 |
2. 9 |
| |
3. -9 |
4. -81 |
| |
|
|
17. เท่ากับข้อใด |
| |
1.  |
2.  |
| |
|
|
| |
3.  |
4.  |
| |
|
|
18. กำหนด และ ถ้า a = z15 + z25 และ b = z16 + z26 แล้วจะได้ว่า a2+ b2 เท่ากับข้อใด |
| |
1. -1 |
2. 3 |
| |
3. 4 |
4. 5 |
| |
|
|
| 19. ค่ารากที่สามของ 8i ตรงกับข้อใด |
| |
1.  |
2.  |
| |
3.  |
4.  |
| |
|
|
20. ให้ a, b, c เป็นรากของสมการ x3 - 2ix2 + x - 2i = 0 โดย b และ c ต่างเป็นสังยุคกัน จงหาค่าของ  |
| |
1. 1 - 4i |
2. 1 + 4i |
| |
3. 2 – 2i |
4. 2 + 2i |