<< Go Back

แบบทดสอบก่อนเรียนบทที่ 4

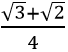
1. ถ้า  มีค่าเท่ากับข้อใด
  1.    2.   
  3.    4.   
 
2.  มีค่าเท่ากับข้อใด
  1.    1.50 2.    1.00
  3.    0.50 4.    0.25
     
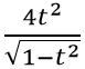
3. ถ้า 4 tanθ = 3 ค่าของ มีค่าตรงกับข้อใด
  1.    0.2 2.    1.8
  3.    4 4.    5
     
4. ถ้า ABC เป็นรูปสามเหลี่ยมใด ๆ มีค่า cos A = แล้ว sin⁡( B + C ) เท่ากับข้อใด
  1.    2.   
  3.    4.   
     
5. ถ้า sin x = และ sin y = แล้ว tan ⁡(x + y) มีค่าตรงกับข้อใด
  1.    2.   
  3.    4.    1
     
6.   มีค่าเท่าใด
  1.    0 2.    1
  3.    4.   
     
7. ถ้า sin 2x = จะได้ sin4 x + cos4x เท่ากับข้อใด
  1.    2.   
  3.    4.   
     
8. ถ้า tan = t ดังนั้น sin A + tan A จะมีค่าเท่ากับ
  1.    2.   
  3.    4.   
     
9. กำหนด cotθ = ค่าของ 3cos 2θ + 7sin 2θ เป็นเท่าใด
  1.    3 2.    7
  3.    4 4.    10
     
10. ถ้า cosθ = - 0.50 แล้ว cos เท่ากับข้อใด
  1.    2.   
  3.    4.   
     
11.   มีค่าเท่าใด
  1.    0 2.    1
  3.    4.    -1
     
12. เซตคำตอบของสมการ เมื่อ คือข้อใด
  1.    2.   
  3.    4.   
     
13. ถ้า cosec θ + cotθ = แล้ว sinθมีค่าเท่ากับข้อใด
  1.    2.   
  3.    4.   
     
14. รูปสามเหลี่ยม ABC มี A เป็นมุมป้าน ถ้า sin2 A - cos2 A = แล้ว A มีเท่าใด
  1.    2.   
  3.    4.   
     
15. ถ้า ข้อใดคือค่าของ cos2θ
  1.    2.   
  3.    4.    1
     
16. ถ้า และ 6 sin2θ - sinθ - 1 = 0 แล้ว (cosθ + tanθ)2 มีค่าตรงกับข้อใด
  1.    2.   
  3.    4.   
     
17. ถ้า เมื่อ แล้ว มีค่าเท่ากับข้อใด
  1.    -2 2.    -1
  3.    0 4.    2
     
18. ในสมการ 2 cos A sin A - 2sin A - cos A + = 0 ค่าของ A ตรงกับข้อใด
  1.   2 sin A - = 0 2.     cos A - 3 = 0
  3.    sec A - cosec A = 0 4.    ผิดทุกข้อ
     
19. สามเหลี่ยม ABC มีมุม A และมุม B เท่ากับ 30 และ 135 องศา ตามลำดับ ด้าน AC ยาว 10 หน่วย จงหาความยาวด้าน BC
  1.    7.05 2.    7.25
  3.    7.35 4.    7.45
     

20. จากรูป มุมที่ใหญ่ที่สุดมีขนาดกี่องศา

  1.    75 2.    90
  3.    120 4.    135

<< Go Back