1. ให้ a, b เป็นรากของสมการ แล้วค่าของ ab ตรงกับข้อใด |
| |
1. -2 |
2. -4 |
| |
3. -8 |
4. -10 |
| |
2. ให้ R+ เป็นเซตของจำนวนจริงบวก และ A = ข้อใดถูกต้อง |
| |
1.  |
2.  |
| |
3.  |
4.  |
| |
|
|
| 3. ถ้า 4x =22r-1, 2y =23s+1 และ xy = 8 แล้ว r + s เท่ากับข้อใด |
| |
1. 1 |
2. 2 |
| |
3. 4 |
4. 6 |
| |
|
|
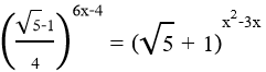
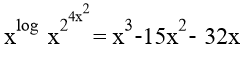
4. ผลบวกของรากของสมการ  |
| |
1. 0 |
2. 2 |
| |
3. 3 |
4. -3 |
| |
|
|
5. จากสมการ จงหาค่าของ 2x +5 เท่ากับข้อใด |
| |
1. 7.5 |
2. 8.5 |
| |
3. 9.5 |
4. 11.5 |
| |
|
|
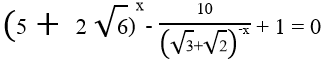
| 6. กำหนด 6(25x) + 11(23x) - 3(2x) = 25x+1 ถ้า y = 25(3 - x) แล้ว y มีค่าเท่ากับเท่าใด |
| |
1. 25 |
2. 50 |
| |
3. 75 |
4. 100 |
| |
|
|
7. ถ้า x, y และ z เป็นจำนวนจริง ซึ่งไม่เท่ากับ 0 และ 32x = 4y = 6-2z แล้ว เท่ากับข้อใดต่อไปนี้ |
| |
1. -1 |
2. 0 |
| |
3.  |
4. 1 |
| |
|
|
| 8. จงหาผลบวกของคำตอบของสมการ logx 36 + log18 3x = 3 |
| |
1. 324 |
2. 330 |
| |
3. 332 |
4. 340 |
| |
|
|
9. กำหนดให้ x = 18 log2 และ y = log4(log3(log2 512)) ข้อใดถูก |
| |
1. x + y = 13.5 |
2. x + y = 13.0 |
| |
3. x + y = 14.0 |
4. x + y = 14.5 |
| |
|
|
10. จงหาค่าของ |
| |
1. 4 |
2. -4 |
| |
3. -3 |
4. 3 |
| |
|
|
11. กำหนดตารางของ log x ดังนี้

ค่าของ มีค่าเท่าใด |
| |
1. 0.6534 |
2. -2.7466 |
| |
3. -0.3466 |
4. 0.8534 |
| |
|
|
12. ถ้า logx 125 = และ logy ( ) = แล้ว x + y เท่ากับข้อใด |
| |
1. 0.2 |
2. 0.3 |
| |
3. 0.4 |
4. 0.5 |
| |
|
|
13. เซตคำตอบของ เป็นสับเซตในข้อใด |
| |
1. [-3, 17) |
2. [0, 4) |
| |
3. [-3, 2] |
4. [4, 20] |
| |
|
|
14. ถ้า แล้ว x มีค่าเท่าใด |
| |
1.  |
2.  |
| |
3.  |
4.  |
| |
|
|
15. ให้ A เป็นเซตคำตอบของสมการ จำนวนสมาชิกของ A มีค่าเท่ากับข้อใด |
| |
1. 0 |
2. 1 |
| |
3. 2 |
4. 3 |
| |
|
|
| 16. ค่า x ที่สอดคล้องกับสมการ (2ln 10)(log |x - 2|) = 1n (x2 + 1) มีค่าตรงกับข้อใด |
| |
1. 2 |
2. 1 |
| |
3. 0.75 |
4. 0.50 |
| |
|
|
| 17. ถ้า 3 log4x2 = 4(log4 x)2 แล้ว x มีค่าอยู่ในช่วงใด |
| |
1. (-1, 9) |
2. (-2, 7) |
| |
3. (1, 10) |
4. (2, 12) |
| |
|
|
18. เซตคำตอบของอสมการ คือข้อใด |
| |
1.  |
2.  |
| |
3.  |
4.  |
| |
|
|
19. เซตคำตอบของอสมการ คือเซตในข้อใด |
| |
1.  |
2. (1, 3) |
| |
3.  |
4.  |
| |
|
|
| 20. เซตคำตอบของอสมการ loga x + loga (x + 1) < loga (2x + 6) เมื่อ a > 1 คือข้อใด |
| |
1. [0, 3] |
2. (0, 3) |
| |
3.  |
4.  |