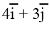
1. ให้ และ เป็นเวกเตอร์ที่ไม่ขนานกัน ถ้า มี x และ y ที่ทำให้ เป็นจริง จงหาค่า x – y |
| |
1. 1 |
2. 2 |
| |
3. 3 |
4. 4 |
| |
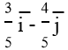
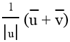
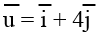
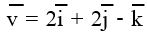
2. กำหนดให้ และ x เป็นจำนวนจริงซึ่งทำให้  |
| |
1. (-6, 0) |
2. (-6, 2) |
| |
3. (-4, 2) |
4. (-4, 4) |
| |
|
|
3. ถ้า และ A เป็นจุด (-2, -3, 6) จุด B ตรงกับข้อใด |
| |
1. (1, 0, 14) |
2. (-9, 0, 14) |
| |
3. (0, 9, -3) |
4. (3, 9, 0) |
| |
|
|
4. ให้ A(1, 4), B(2, 1) และ C(8, 2) เป็นจุดมุมของสี่เหลี่ยมด้านขนาน ABCD โดยมี AB และ BC เป็นด้านประชิดแล้ว คือข้อใด |
| |
1.  |
2.  |
| |
3.  |
4.  |
| |
|
|
5. เวกเตอร์หนึ่งหน่วยที่มีทิศทางตรงข้ามกับ ตรงกับข้อใด |
| |
1.  |
2.  |
| |
|
|
| |
3.  |
4.  |
| |
|
|
6. ให้ และ เวกเตอร์หนึ่งหน่วยที่มีทิศทางตรงข้ามกับ คือเวกเตอร์ใด |
| |
1.  |
2.   |
| |
|
|
| |
3.  |
4.  |
| |
|
|
7. และ ข้อใดเป็นค่าของ  |
| |
1. 112 |
2. 118 |
| |
3. 122 |
4. 128 |
| |
|
|
8. กำหนดให้ และ จงหา  |
| |
1.  |
2.  |
| |
3. 52 |
4. 12 |
| |
|
|
9. ให้ และ ค่าของ  |
| |
1. 15 |
2.  |
| |
3.  |
4.  |
| |
|
|
10. ถ้า และ แล้ว จะได้ว่า เท่ากับข้อใด |
| |
1.  |
2. -6 |
| |
3.  |
4. 6 |
| |
|
|
11. กำหนดให้ จงพิจารณาข้อความต่อไปนี้
(1) ̅ เป็นเวกเตอร์หนึ่งหน่วย
(2)  |
| |
1. ข้อ 1 ถูกข้อเดียว |
2. ข้อ 2 ถูกข้อเดียว |
| |
3. ถูกทั้งสองข้อ |
4. ไม่มีข้อใดถูก |
| |
|
|
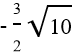
12. ถ้า และ ทำมุมกัน 60๐ และ แล้ว มีค่าเท่ากับข้อใด |
| |
1. 5 |
2. 7 |
| |
3.  |
4.  |
| |
|
|
13. ถ้า และ ทำมุมกัน 60๐ และ ค่าของ คือข้อใด |
| |
1.  |
2.  |
| |
|
|
| |
3.  |
4.  |
| |
|
|
14. กำหนด และ ถ้า θ เป็นมุมระหว่าง กับ จงหาค่า cosθ |
| |
1.  |
2.  |
| |
3.  |
4.  |
| |
|
|
15. ถ้า ตั้งฉากกับ และ ตั้งฉากกับ แล้ว x∙y มีค่าตรงกับข้อใด |
| |
1. 1 |
2. -1 |
| |
3. 2 |
4. -2 |
| |
|
|
16. ให้ โดย a > 0 ถ้า ตั้งฉากกับเวกเตอร์ แล้ว มุมระหว่าง กับ ตรงกับข้อใด |
| |
1. 30๐ |
2. 45๐ |
| |
3. 60๐ |
4. 90๐ |
| |
|
|
17. พิจารณาข้อความต่อไปนี้
 |
| |
1. ข้อ 1 ถูกข้อเดียว |
2. ข้อ 2 ถูกข้อเดียว |
| |
3. ถูกทั้งสองข้อ |
4. ไม่มีข้อใดถูก |
| |
|
|
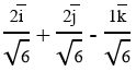
18. เวกเตอร์หนึ่งหน่วยที่ตั้งฉากกับเวกเตอร์ และ ตรงกับข้อใด |
| |
1.  |
2.  |
| |
|
|
| |
3.  |
4.  |
| |
|
|
19. พื้นที่ของรูปสี่เหลี่ยมด้านขนานที่มี และ เป็นด้านประชิดมีค่าตรงกับข้อใด |
| |
1.  |
2.  |
| |
3.  |
4.  |
| |
|
|
20. ปริมาตรของทรงสี่เหลี่ยมด้านขนานที่มี และ เป็นด้านประชิดมีค่าตรงกับข้อใด |
| |
1. 1 ลูกบาศก์หน่วย |
2. 2 ลูกบาศก์หน่วย |
| |
3. 3 ลูกบาศก์หน่วย |
4. 4 ลูกบาศก์หน่วย |