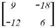
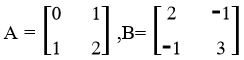
1. กำหนดให้ A = ถ้า C=AB =[cij ] แล้วข้อใดถูกต้อง |
| |
1. c12 + c21 = c11 + c22 |
2. c11 + c22 = c12 + c17 |
| |
3. c21 - c23 = c22 - c11 |
4. ไม่มีข้อใดถูก |
 |
| |
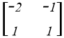
2. ให้ แล้ว (A+B)2 มีค่าเท่ากับข้อใด |
| |
1. A2 - B2 |
2. A2 + B2 |
| |
3. A2 + 2AB + B2 |
4. B2 - A2 |
 |
| |
|
|
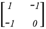
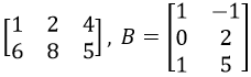
3. ให้ จงหา AtB |
| |
1.  |
2.  |
| |
3. [10 -1 3] |
4. [10 -1 4] |
 |
| |
|
|
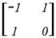
4. กำหนดให้ สมาชิกในแถวที่ 2 หลักที่ 3 ของ (AB)t คือข้อใด |
| |
1. b1x3 + b2y3 + b3z3 |
2. z1a3 + z2a3+ z3c3 |
| |
3. c1x2 +c2y2 + c3z2 |
4. a3y1 + b3y2 + c3y3 |
 |
| |
|
|
5. กำหนดเมทริกซ์ เมื่อ a,b,c และ d เป็นจำนวนจริงบวก โดยที่ abcd = 9 และ ad ≠ bc ถ้า AB-1 =B-1A และ det(AtB) = -24 จงหา a + b + c + d มีค่าเท่ากับเท่าไร |
| |
1. 7 |
2. 8 |
| |
3. 9 |
4. 10 |
 |
| |
|
|
6. ให้ A, B และ C เป็นเมทริกซ์มิติ 2 × 2 และ I เป็นเมทริกซ์เอกลักษณ์มิติ 2 × 2 ถ้า detA = detB = 3 และ det(AtB - AtBC) = -27 แล้ว det (C – 2I) เท่ากับข้อใด |
| |
1. -6 |
2. 6 |
| |
3. -12 |
4. 12 |
 |
| |
|
|
7. ถ้า A เป็น 2×2 เมทริกซ์ ซึ่งมิใช่เอกฐาน และ ถ้า แล้ว A-1 คือเมทริกซ์ในข้อใด |
| |
1.  |
2.  |
| |
3.  |
4.  |
 |
| |
|
|
8. กำหนดให้ และ x เป็นสเกลาร์ ถ้า C + A-1 = xI และ det C = 0 แล้ว x มีค่าตรงกับข้อใด |
| |
1.  |
2.  |
| |
3.  |
4.  |
 |
| |
|
|
9. กำหนดให้ และ ถ้า X = (B + C)A และ X-1 เป็นอินเวิอร์สการคูณของ X แล้ว X-1 คือเมทริกซ์ในข้อใด |
| |
1.  |
2.  |
| |
3.  |
4.  |
 |
| |
|
|
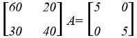
10. กำหนดให้ จงหาค่า k ที่ทำให้สมการดังกล่าวเป็นจริง |
| |
1. 125 |
2. 0 |
| |
3. 30 |
4. เป็นจริงสำหรับทุกค่า k ที่เป็นจำนวนจริง |
 |
| |
|
|
11. ให้ และ ถ้า det(AB + B ) = 84 แล้ว y มีค่าเท่ากับเท่าใด |
| |
1. 2 |
2. 3 |
| |
3. 4 |
4. 6 |
 |
| |
|
|
12. กำหนด A, B, C เป็นเมทริกซ์ 2x2 โดย detA-1 =det 2I, det Bt = 8 และ (AtB2C-1) = จงหา det C |
| |
1.  |
2. 2 |
| |
3. 3 |
4. 4 |
 |
| |
|
|
13. กำหนดให้ และ จงหาค่าของ x + y ที่ได้จากสมการ A-1 = B |
| |
1. 28 |
2. 54 |
| |
3. 45 |
4. 38 |
 |
| |
|
|
14. กำหนดให้ และ C = 2AB-1 + B-1 ค่าของ a ที่ทำให้ det C = 1 คือ |
| |
1. 3 |
2.  |
| |
3. 2 |
4.  |
 |
| |
|
|
15. กำหนดให้ ถ้า B เป็นเมทริกซ์ 2x2 ที่สอดคล้องกับสมการ BA-1 =At แล้ว B คือ เมทริกซ์ในข้อใด |
| |
1.  |
2.  |
| |
3.  |
4.  |
 |
| |
|
|
16. กำหนดให้ ถ้า det(- AB ) = det (C-1) แล้วค่าของ y + 2x เท่ากับเท่าใด |
| |
1.  |
2.  |
| |
3.  |
4.  |
 |
| |
|
|
17. กำหนดให้ และ โดยที่ a,b เป็นจำนวนจริง ซึ่ง a > b ถ้า det(AB-1) = และ a + b = 4 แล้ว det(A+Bt) มีค่าเท่ากับข้อใด |
| |
1. -10 |
2. -7 |
| |
3. 7 |
4. 10 |
 |
| |
|
|
18. ให้ a, b, c เป็นจำนวนที่สอดคล้องกับระบบสมการ แล้ว a + b + c มีค่าเท่ากับข้อใด |
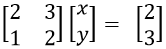
| |
1. 1 |
2. 3 |
| |
3. 5 |
4. 7 |
 |
| |
|
|
19. กำหนดให้ แล้ว x + y มีค่าเท่ากับข้อใด |
| |
1. -2 |
2. -1 |
| |
3. 1 |
4. 2 |
 |
| |
|
|
20. กำหนดให้ a และ b เป็นจำนวนจริงที่สอดคล้องกับ แล้วค่าของ เท่ากับเท่าไร |
| |
1. -34 |
2. -68 |
| |
3. 38 |
4. 68 |
 |