1. ถ้า A = {1, 2, 3, 4, 6, 8}; B = {2, 4, 5, 6, 7, 10} และ และ r = แล้ว Rr เท่ากับข้อใด |
| |
1. {3,4,5,6,8,10} |
2. {2,3,4,8} |
| |
3. {1,2,3,4,6,8} |
4. {4,5,6,10} |
| |
2. ถ้าเอกภพสัมพัทธ์คือเซตของจำนวนจริงแล้ว เรนจ์ของความสัมพันธ์ r = คือข้อใด |
| |
1.  |
2.  |
| |
3.  |
4.  |
| |
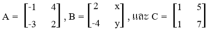
|
3. ถ้า แล้ว เท่ากับข้อใด |
| |
1. [-2,-1] |
2. [-2,6] |
| |
3. [-1,3] |
4. [-2,0] |
| |
|
4. กำหนดความสัมพันธ์ r = จำนวนสมาชิกของ Rr |
| |
1. 8 |
2. 2 |
| |
3. 4 |
4. 6 |
| |
|
5. ถ้า f(x) = แล้ว f(x + 4) เท่ากับข้อใด |
| |
1.  |
2.  |
| |
3.  |
4.  |
| |
|
| 6. ถ้า h(x + 4) = x - 2 แล้ว h-1(2a + b) เท่ากับข้อใด |
| |
1. a + 2b + 6 |
2. 2a + b + 6 |
| |
3. 2a + 3b+ 6 |
4. a + 2b - 2 |
| |
| 7. ถ้า f(2x + 3) = x + 1 แล้ว f -1(2) มีค่าเท่าใด |
| |
1. 8 |
2. 5 |
| |
3. 6 |
4. 7 |
| |
8. กำหนดให้ จงหาค่าของ hogof(x) |
| |
1. 1 - x |
2.  |
| |
3.  |
4.  |
| |
|
|
9. กำหนดให้ f(x) = และ g(x) = x - 3 แล้ว (fog)(1 - x) คือข้อใด |
| |
1.  |
2.  |
| |
3.  |
4.  |
| |
|
|
10. ถ้า 12 tan A = 5 แล้ว ค่าของ เท่ากับข้อใด |
| |
1.  |
2.  |
| |
3.  |
4.  |
| |
|
|
| 11. กำหนด sec4 A - tan4 A = 7 จงหาค่าของ 4 sin2 A + 12sin A tan A |
| |
1. 21 |
2. 12 |
| |
3. 15 |
4. 18 |
| |
|
|
12. ชายคนหนึ่งยืนอยู่ระหว่างตึกสองหลัง ถ้าชายคนนี้มองยอดตึกที่หนึ่งด้วยมุมเงย 30๐ แล้วหันหลังกลับ เขาจะมองเห็นยอดตึกที่สองด้วยมุมเงย 60๐ สมมติว่าตึกที่สองสูงกว่าตึกที่หนึ่ง เมตร และตึกทั้งสองห่างกัน 100 เมตร ชายคนนี้จะยืนอยู่ห่างจากตึกที่หนึ่งกี่เมตร |
| |
1. 65 |
2. 45 |
| |
3. 50 |
4. 60 |
| |
|
|
13. ให้ แล้ว (A+B)2 มีค่าเท่ากับข้อใด |
| |
1. B2 - A2 |
2. A2 - B2 |
| |
3. A2 + B2 |
4. A2 + 2AB + B2 |
| |
14. กำหนดให้ สมาชิกในแถวที่ 2 หลักที่ 3 ของ (AB)t คือข้อใด |
| |
1. a3y1 + b3y2 + c3y3 |
2. b1x3 + b2y3 + b3z3 |
| |
3. z1a3 + z2a3+ z3c3 |
4. c1x2 +c2y2 + c3z2 |
| |
|
|
15. ให้ A, B และ C เป็นเมทริกซ์มิติ 2 × 2 และ I เป็นเมทริกซ์เอกลักษณ์มิติ 2 × 2 ถ้า detA = detB = 3 และ det(AtB - AtBC) = -27 แล้ว det (C – 2I) เท่ากับข้อใด |
| |
1. 12 |
2. -6 |
| |
3. 6 |
4. -12 |
| |
|
|
16. กำหนดให้ และ x เป็นสเกลาร์ ถ้า C + A-1 = xI และ det C = 0 แล้ว x มีค่าตรงกับข้อใด |
| |
1.  |
2.  |
| |
3.  |
4.  |
| |
|
|
17. กำหนดให้ จงหาค่า k ที่ทำให้สมการดังกล่าวเป็นจริง |
| |
1. 125 |
2. 0 |
| |
3. 30 |
4. เป็นจริงสำหรับทุกค่า k ที่เป็นจำนวนจริง |
| |
18. กำหนด A, B, C เป็นเมทริกซ์ 2x2 โดย detA-1 =det 2I, det Bt = 8 และ (AtB2C-1) = จงหา det C |
| |
1. 4 |
2.  |
| |
3. 2 |
4. 3 |
| |
|
|
19. กำหนดให้ และ C = 2AB-1 + B-1 ค่าของ a ที่ทำให้ det C = 1 คือ |
| |
1.  |
2. 3 |
| |
3.  |
4. 2 |
| |
|
|
20. กำหนดให้ ถ้า det(- AB ) = det (C-1) แล้วค่าของ y + 2x เท่ากับเท่าใด |
| |
1.  |
2.  |
| |
3.  |
1.  |
| |
|
|
21. ให้ a, b, c เป็นจำนวนที่สอดคล้องกับระบบสมการ แล้ว a + b + c มีค่าเท่ากับข้อใด |
| |
1. 7 |
2. 1 |
| |
3. 3 |
4. 5 |
| |
| 22. กำหนดสมการเส้นตรงสองเส้นคือ 2x + y - 5 = 0 และ x + y - 2 = 0 วงกลมที่จุดตัดของเส้นตรงทั้งสองเป็นจุดศูนย์กลางและมีรัศมีเท่ากับ 2 หน่วย มีสมการตรงกับข้อใด |
| |
1. x2 + y2 + 6x -2y + 4 = 0 |
2. x2 + y2 - 6x + 2y + 6 = 0 |
| |
3. x2 + y2 - 6x + 2y + 4 = 0 |
4. x2 + y2 + 6x - 2y + 6 = 0 |
| |
|
|
| 23. ถ้า k เป็นจำนวนจริงที่ทำให้ความยาวของเส้นสัมผัสวงกลม x2 + y2 + 2ky = 0 โดยวัดจากจุด A(5, 4) ไปถึงจุดสัมผัสมีความยาว 1 หน่วย แล้ว k จะมีค่าเท่าใด |
| |
1. 6 |
2. -5 |
| |
3. 10 |
4. 4 |
| |
|
|
| 24. สมการวงกลมซึ่งมีจุดศูนย์กลางอยู่ที่จุดโฟกัสของพาราโบลา x2 - 4x - 8y - 4 = 0 และผ่านจุดซึ่งแบ่งครึ่งเส้นตรงที่ลากจากจุด (- 4, 3) มายังจุดโฟกัสของพาราโบลา คือสมการในข้อใด |
| |
1. x2 + y2 - 4x - 2y - 5 = 0 |
2. x2 + y2 - 4x + 2y - 7 = 0 |
| |
3. x2 + y2 - 4x + 2y - 11 = 0 |
4. x2 + y2 - 4x - 2y -12 = 0 |
| |
|
|
| 25. ข้อความใดถูกต้อง |
| |
1. ถ้า ax2 + by = 0 เป็นสมการพาราโบลา แล้ว โฟกัสของพาราโบลา คือ (0, ) เมือ a > 0 และ b > 0 |
| |
2. พาราโบลาที่มีจุดยอดที่จุด (1,0) และสมการไดเรกตริกซ์ คือ x = 0 มีสมการเป็น y2 = 4x + 1 |
| |
3. ไดเรกตริกซ์ของพาราโบลา x2 + 4x + y =0 ขนานกับแกน Y |
| |
4. สมการ (y - k)2 = a(x -h) จะเป็นพาราโบลาที่มีลักษณะตะแคงซ้ายหรือตะแคงขวา |
| |
| 26. สมการของวงกลมซึ่งมีจุดศูนย์กลางอยู่ที่จุดยอดของพาราโบลา 3x2 - 18x - y - 30 = 0 และผ่านจุดซึ่งแบ่งครึ่งเส้นตรงที่ลากจากจุด (-1, 1) มายังจุดศูนย์กลางของวงกลมนี้ คือ |
| |
1. x2 + y2 - 6x + 6y + 26 = 0 |
2. x2 + y2 - 6x + 6y + 10 = 0 |
| |
3. x2 + y2 - 6x + 42y + 316 = 0 |
4. x2 + y2- 6x + 114y + 2413 = 0 |
| |
|
|
| 27. ระยะทางจากจุดศูนย์กลางของวงกลม x2 + y2 + 4x - 2y = 4 กับจุดโฟกัสพาราโบลา x2 = -6y เท่ากับข้อใด |
| |
1.  |
2.  |
| |
3.  |
4.  |
| |
|
|
| 28. ให้ F1 และ F2 เป็นโฟกัสของพาราโบลา x2 = -24y และ y2 = 8x ตามลำดับ วงกลมที่มีส่วนของเส้นตรง F1F2 เป็นเส้นผ่านศูนย์กลาง คือข้อใด |
| |
1. x2 + y2 - 2x + 6y = 0 |
2. x2 + y2 + 6x - 2y - 30 = 0 |
| |
3. x2 + y2 + 6x - 2y - 10 = 0 |
4. x2 + y2 - 2x + 6y + 2413 = 0 |