| 1. ถ้า 5(x-3) = 3(1-x ) จงหาค่าของ 2x -1 |
| |
1. 2.25 |
2. 3.2 |
| |
3. 3.5 |
4. 4.5 |
 |
| |
2. จงหาค่า m จากสมการ m = + 6 |
| |
1. 5 |
2. 8 |
| |
3. 9 |
4. 10 |
 |
| |
|
|
| 3. จงหาค่า x เมื่อ 13 = -2(x-4) - 1 |
| |
1. -4 |
2. -3 |
| |
3. -12 |
4. -22 |
 |
| |
|
|
4. จงหาค่า x จากสมการ = 1 |
| |
1. 1 |
2. 3 |
| |
3. 4 |
4. 5 |
 |
| |
|
|
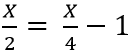
5. ถ้า แล้ว x มีค่าตรงกับข้อใด |
| |
1.  |
2.  |
| |
3. 8 |
4.  |
 |
| |
|
|
| 6. ถ้า 2a + 2b + 5c = 9 และ c = 1 ดังนั้น a + b + c เท่ากับเท่าไร |
| |
1. 1 |
2. 2 |
| |
3. 3 |
4. 5 |
 |
| |
|
|
7. จงแก้สมการ = 1 |
| |
1. 0 |
2. 1 |
| |
3. 2 |
4.  |
 |
| |
|
|
8. จงแก้สมการ  |
| |
1. -4 |
2.  |
| |
3.  |
4.  |
 |
| |
|
|
| 9. ประโยคในข้อใดไม่เป็นสมการ |
| |
1. 2x + y = 3 |
2. 0.009 = 0.006 + 0.003 |
| |
3. A – 23 = 5 |
4. 2x + 2b - 5 |
 |
| |
|
|
| 10. ถ้า A + 1 = 5, B + 2 = 10, C + 3 = 15 ค่าของ A + B + C ตรงกับข้อใด |
| |
1. 16 |
2. 20 |
| |
3. 24 |
4. 26 |
 |
| |
|
|
| 11. ข้อใดเป็นคำตอบของสมการ 8 – 2x + 12 = 6 |
| |
1. 4 |
2. 5 |
| |
3. 6 |
4. 7 |
 |
| |
|
|
| 12. ถ้าให้ x + a = b -c แล้ว x มีค่าตรงกับข้อใด |
| |
1. a - b + c |
2. b – c - a |
| |
3. b + c - a |
4. a + b + c |
 |
| |
|
|
13. จงแก้สมการต่อไปนี้  |
| |
1. 0 |
2. 1 |
| |
3. 2 |
4. 3 |
 |
| |
|
|
| 14.เอ กับ บี จ่ายค่าอาหารรวมกัน 81 บาท โดยที่ เอจ่ายเป็น 2 เท่าของ บี จงเขียนสมการ |
| |
1. x = 81 |
2. 2x = 81 |
| |
3. 3x = 81 |
4. x2= 81 |
 |
| |
|
|
| 15. สองเท่าของเลขจำนวนหนึ่งมากกว่า 11 อยู่ 11 เลขจำนวนนั้นคืออะไร |
| |
1. 11 |
2. 25 |
| |
3. 110 |
4. 121 |
 |
| |
|
|
| 16.จำนวนคู่บวกสามจำนวนเรียงกัน มีผลบวกเป็น 78 จงหาเลขจำนวนที่มากที่สุด |
| |
1. 22 |
2. 26 |
| |
3. 28 |
4. 30 |
 |
| |
|
|
| 17. นาย ก สอบวิชาภาษาไทยได้ 13 คะแนน สังคมศึกษาได้ 17 คะแนน ถ้า 5 เท่าของคะแนนคณิตศาสตร์รวมกับคะแนนภาษาไทยและสังคมศึกษา จะได้ 80 คะแนน จงหาว่า นาย ก สอบคณิตศาสตร์ได้กี่คะแนน |
| |
1. 8 คะแนน |
2. 9 คะแนน |
| |
3. 10 คะแนน |
4. 12 คะแนน |
 |
| |
|
|
| 18. ที่ดินรูปสามเหลี่ยมหน้าจั่วมีฐานยาวเป็นครึ่งหนึ่งของด้านประกอบมุมยอด ถ้าค่าจ้างล้อมรั้วที่ดินเป็นเงิน 2,250 บาท โดยคิดค่าจ้างเมตรละ 50 บาท จงหาว่าด้านประกอบมุมยอดยาวด้านละกี่เมตร |
| |
1. 9 เมตร |
2. 13 เมตร |
| |
3. 18 เมตร |
4. 20 เมตร |
 |
| |
|
|