| 1. คำตอบของอสมการ 5(x-2) + 2 < 2(x – 4) ตรงกับข้อใด |
| |
1. x > 0 |
2. x < 0 |
| |
3. x > 16 |
4. x < 16 |
 |
| |
| 2. คำตอบของอสมการ −3≤5x+2 ≤9 ตรงกับข้อใด |
| |
1. -2 > x > -4 |
2. -2 > x > 4 |
| |
3. 2 < x < -4 |
4. -2 < x < 4 |
| |
5. -1 ≤ x ≤ |
|
 |
| |
|
|
3. ถ้า 1 < x < 10 แล้วค่าของ ที่มีค่าเป็นจำนวนเต็ม ตรงกับข้อใด |
| |
1. 4, 5, 7 |
2. 4, 7, 10 |
| |
3. 4, 7 |
4. 2, 3, 4, 5, …, 14 |
 |
| |
|
|
| 4. ถ้า -8 < 2x – 4 < 8 แล้วข้อใดถูกต้อง |
| |
1. -2 < x < 6 |
2. 2 < x < 6 |
| |
3. -2 < x < -6 |
4. -6 < x < -2 |
 |
| |
|
|
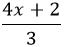
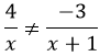
5. จงแก้อสมการ มีค่าเท่ากับข้อใด |
| |
1.  |
2. ทุกค่ายกเว้น x =  |
| |
3.  |
4. ทุกค่ายกเว้น x =  |
 |
| |
|
|
| 6. ถ้า (x−5)2 < (x + 1)2 แล้วค่า x ตรงกับข้อใด |
| |
1. x ≤ 2 |
2. x > 2 |
| |
3. x ≤ 15 |
4. x ≥ 5 |
 |
| |
|
|
| 7. ถ้า -1 ≤−2x + 3 ≤ 5 ค่า x ตรงกับข้อใด |
| |
1. -2 ≤ x ≤−1 |
2. 1≤ x ≤2 |
| |
3. -1 ≤ x ≤2 |
4. −2 ≤x ≤1 |
 |
| |
|
|
| 8. 10 – 6x < 22 + 6x ค่าของ x ตรงกับข้อใด |
| |
1. x > -1 |
2. x > 1 |
| |
3. x > 12 |
4. x < 2 |
 |
| |
|
|
| 9. ถ้า |x + 2| < 2 แล้ว x มีค่าตรงกับข้อใด |
| |
1. x < 0 |
2. -4 < x < 0 |
| |
3. x > 4 |
4. x= -1 |
 |
| |
|
|
| 10. คำตอบของอสมการ -2(1 – 2x) < 31 + x ที่เป็นจำนวนเฉพาะมีผลบวกเป็นเท่าใด |
| |
1. 15 |
2. 17 |
| |
3. 28 |
4. 29 |
 |
| |
|
|
| 11. ข้อใดเป็นคำตอบของอสมการ x – 19 < -3x – 7 < 2x + 3 |
| |
1. -1 < x < 3 |
2. 1 < x < 3 |
| |
3. -4 < x < 3 |
4. -2 < x < 3 |
 |
| |
|
|
12. อสมการในข้อใดสมมูลกับอสมการ (16−5x)<2x |
| |
1. 5(2x + 1) > 7 |
2. 3(3 - x) > 2x + 5 |
| |
3. 4(2x - 3) > 4 |
4. + 2 < −3 |
 |
| |
|
|
| 13. ถ้า 3(x-2) > 2(x+1) แล้ว x มีค่าตรงกับข้อใด |
| |
1. x > -7 |
2. x < -7 |
| |
3. x < -8 |
4. x > 8 |
 |
| |
|
|
14. ถ้า x เป็นจำนวนเต็มที่มีค่ามากกว่า แล้วจะมี x กี่จำนวนที่สอดคล้องกับอสมการ 15 − ≥ 2x + 5.5 |
| |
1. 11 |
2. 10 |
| |
3. 9 |
4. 8 |
 |
| |
|
|
| 15. สามเท่าของเลขจำนวนหนึ่งเมื่อเพิ่มอีก 3 จะมีค่าน้อยกว่า 2 เท่าของเลขจำนวนนั้นลบด้วย 4 จง หาเลขจำนวนนั้น |
| |
1. น้อยกว่า -7 |
2. มากกว่า -7 |
| |
3. น้อยกว่า 7 |
4. มากกว่า 7 |
 |
| |
|
|
| 16. จำนวนนับซึ่ง 3 เท่าของมันมากกว่า 18 อยู่ไม่ถึง 9 ได้แก่จำนวนใด |
| |
1. 6, 7 |
2. 7, 8 |
| |
3. 8, 9 |
4. 6, 7, 8 |
 |
| |
|
|
| 17. ฉันมีเงินจำนวนหนึ่งแล้วพี่ชายให้มาอีก 2 เท่าของที่ฉันมีอยู่ เมื่อฉันนำเงินไปซื้อของ 75 บาท และทำบุญอีก 15 บาท ฉันจะเหลือเงินไม่ถึง 30 บาท เดิมฉันมีเงินมากที่สุดกี่บาท |
| |
1. 38 บาท |
2. 39 บาท |
| |
3. 40 บาท |
4. 42 บาท |
 |
| |
|
|
| 18. ห้าเท่าของจำนวนเต็มจำนวนหนึ่งรวมกับ 4 มีค่าไม่ถึง 9 จำนวนเต็มจำนวนนั้นคือจำนวนอะไร |
| |
1. น้อยกว่า 1 |
2. เท่ากับ 1 |
| |
3. มากกว่า 1 |
4. เท่ากับ 2 |
 |
| |
|
|
| 19. ฉันซื้อมะม่วงมาจำนวนหนึ่ง หลังจากให้ญาติไป 12 ผล และเน่าเสีย 5 ผล แล้วยังมีมะม่วงเหลืออยู่ถึง 20 ผล ฉันซื้อมะม่วงมาอย่างมากที่สุดกี่ผล |
| |
1. 17 ผล |
2. 18 ผล |
| |
3. 36 ผล |
4. 37 ผล |
 |
| |
|
|
| 20. มาลีซื้อปลาช่อนและปลาดุกไปขายรวมกันแล้วมากกว่า 40 กิโลกรัม แต่ไม่ถึง 50 กิโลกรัม เป็นเงิน 1,100 บาท ถ้าปลาช่อนราคากิโลกรัมละ 30 บาท ปลาดุกราคากิโลกรัมละ 20 บาท จงหาว่าซื้อ ปลาดุกได้มากที่สุดกี่กิโลกรัม |
| |
1. 31 กิโลกรัม |
2. 34 กิโลกรัม |
| |
3. 36 กิโลกรัม |
4. 39 กิโลกรัม |
 |