
แบบทดสอบหลังเรียนบทที่ 3
| 1. กราฟที่กำหนดให้คู่ใดบ้างที่ขนานกัน |
| |
1. 3x – y + 5 = 0 กับ x – 3y + 5 = 0 |
2. 2x + y – 7 = 0 กับ 10x + 5y – 25 = 0 |
| |
3. x + y = 5 กับ x – y = 5 |
4. 3x + y = 12 กับ 3x – y = 12 |
 |
| |
| 2. กราฟของระบบสมการในข้อใดไม่มีคำตอบ |
| |
1. 2x – y = 3 กับ 2x + 3 y = -1 |
2. x – 2y = -3 กับ -3x + 6y = 12 |
| |
3. x – 2y = -4 กับ 3x + 4y = 18 |
4. x + 3y = 9 กับ 2x – y = 4 |
 |
| |
|
|
3. ระบบสมการ x – 2y = -4
2x + y = -3
มีคำตอบตรงกับข้อใด |
| |
1. (2, 1) |
2. (-2, 1) |
| |
3. (-2, -1) |
4. (2, -1) |
 |
| |
|
|
4. ระบบสมการ 21x – 4y = 2
35x + 3y = 100
มีคำตอบตรงกับข้อใด |
| |
1. (10, 2) |
2. (10, 3) |
| |
3. (2, 10) |
4. (2, 9) |
 |
| |
|
|
5. ระบบสมการ 5(3x – 2y + 10) + 11y + 18 = 0
7x + 5y = 0
มีคำตอบตรงกับข้อใด |
| |
1. (7, 5) |
2. (7, -5) |
| |
3. (-5, 7) |
4. (-5, -7) |
 |
| |
|
|
6. ระบบสมการ 0.2 x + 0.3y = 2.1
x – 4y = 5
มีคำตอบตรงกับข้อใด |
| |
1. (9, 1) |
2. (0.9, 0.1) |
| |
3. (9, -1) |
4. (0.9, -0.1) |
 |
| |
|
|
7. ระบบสมการ 2.0 x - 1.3y = 0.1
3.5x – 1.1 y = 3.7
มีคำตอบตรงกับข้อใด |
| |
1. (0.2, 0.3) |
2. (0.2, -0.3) |
| |
3. (2, 3) |
4. (2, -3) |
 |
| |
|
|
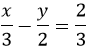
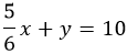
8. ระบบสมการ
มีคำตอบตรงกับข้อใด |
| |
1. (6, 5) |
2. (-6, 5) |
| |
3. (-6, -5) |
4. (6, -5) |
 |
| |
|
|
9. ระบบสมการ 2(x + 3) – 3(y- 4) = 22

มีคำตอบตรงกับข้อใด |
| |
1. (3, -2) |
2. (-4, 1) |
| |
3. (-3, 3) |
4. มีคำตอบมากมายไม่จำกัดในรูป  |
 |
| |
|
|
10. ระบบสมการ xy(x + y) = 30
xy (x – y) = 6
มีคำตอบตรงกับข้อใด |
| |
1. (2, 3) |
2. (3, 2) |
| |
3. (-2, 3) |
4. (-3, 2) |
 |
| |
|
|
11. ระบบสมการ ax + by = 2ab
bx – ay = b2− a2 |
| |
1. (a, b) |
2. (b, a) |
| |
3. (a – b, a + b) |
4. (b – a, a - b) |
 |
| |
|
|
| 12. ข้อใดเป็นคำตอบของสมการ 0.3x + 0.4y + 0.45 = 0 และ 0.5x – 0.6y = 1.15 |
| |
1. (-0.5, 1.5) |
2. (0.5, -1.5) |
| |
3. (0.5, 1.5) |
4. (-0.5, 1.5) |
 |
| |
|
|
| 13. ค่าของ x และ y ที่สอดคล้องกับระบบสมการ x + by = c และ bx + cy = bc คือข้อใด |
| |
1. (c, 0) |
2. (-c, 0) |
| |
3. (0, c) |
4. (0, -c) |
 |
| |
|
|
| 14. เส้นตรง x + y + 8 = 0 และ 3x – 4y -4 = 0 เมื่อเขียนกราฟแล้วจุดตัดของเส้นตรงทั้งสองอยู่ห่างจากแกน X เท่าไร |
| |
1.  |
2. 4 |
| |
3. 5 |
4. 7 |
 |
| |
|
|
| 15. จงหาจุดตัดของกราฟของสมการเส้นตรง 3x + 5y = 8 และ 6x + 10y = 16 |
| |
1. (1,1) |
| |
2. ไม่มีจุดตัด |
| |
3. จุดตัดมีมากมายในรูป  |
| |
4. จุดเดียวกันกับกราฟเส้นตรง x + 6y = 6 ตัดกราฟเส้นตรง 6x - y = 10 |
 |
| |
|
|
| 16. ถ้ากราฟของสมการ ax + by + 10 = 0 ตัดกับกราฟของสมการ y = 5 ที่จุด (1, a) เมื่อ a, b เป็นจำนวนใดๆ จงหาค่า a และ b |
| |
1. a = 5 b = 3 |
2. a = 5, b = -3 |
| |
3. a = -3, b = 5 |
4. ไม่มีข้อใดถูก |
 |
| |
|
|
| 17. จำนวนจำนวนหนึ่งเป็นเลขสองหลัก ตัวเลขโดดในหลักสิบมากกว่าตัวเลขโดดในหลักหน่วยอยู่ 4 และผลบวกของจำนวนนี้กับจำนวนที่มีเลขหลักกับจำนวนเดิมเป็น 154 จงหาเลขจำนวนนั้น |
| |
1. 65 |
2. 75 |
| |
3. 85 |
4. 95 |
 |
| |
|
|
| 18. เมื่อสิบปีที่ผ่านมา บิดามีอายุเป็น 4 เท่าของบุตร ถ้าใน 6 ปีข้างหน้าบิดาจะมีอายุเป็น 2 เท่าของบุตร จงหาว่าปัจจุบันบิดาอายุเท่าไร |
| |
1. 42 |
2. 44 |
| |
3. 45 |
4. 48 |
 |
 |