จงใช้ข้อมูลต่อไปนี้ตอบคำถามข้อ 1 – 3
จากการสำรวจอายุของนักเรียนกลุ่มหนึ่ง (หน่วยเป็นปี) จำนวน 10 คน ผลเป็นดังนี้
10, 12, 13, 15, 12, 13, -16, 15, 20, 15 |
| 1. ค่าเฉลี่ยเลขคณิตมีค่าเท่าไร |
| |
1. 13 |
2. 14 |
| |
3. 14.1 |
4. 15 |
| |
| 2. มัธยฐานมีค่าเท่าไร |
| |
1. 13 |
2. 14 |
| |
3. 15 |
4. 16 |
| |
|
|
| 3. ฐานนิยมมีค่าเท่าไร |
| |
1. 13 |
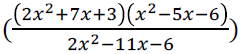
2. 14 |
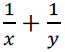
| |
3. 15 |
4. 16 |
| |
|
|
| 4. จากการหาค่าเฉลี่ยเลขคณิตของข้อมูล 10 ตัว เป็น 12 แต่ภายหลังทราบว่ามีข้อมูลตัวหนึ่งอ่านผิดไป โดยค่าที่ถูกต้องคือ 3 แต่อ่านไป 8 จงหาค่าเฉลี่ยเลขคณิตที่ถูกต้อง |
| |
1. 10.5 |
2. 11 |
| |
3. 11.5 |
4. 12 |
| |
|
|
| 5. ถ้า x, y, z มีค่าเฉลี่ยเลขคณิตเป็น 5 และ x, y, z, a, b, c มีค่าเฉลี่ยเลขคณิตเป็น 8 ดังนั้น ค่าเฉลี่ยเลขคณิตของ a, b, c ตรงกับข้อใด |
| |
1. 6.5 |
2. 11 |
| |
3. 13 |
4. 15 |
| |
|
|
| 6. ข้อมูลชุดหนึ่งมี 6 ตวั คือ x, y, 5, 1, 3, 10 หาค่าเฉลี่ยเลขคณิตได้ 5 ฐานนิยมได้ 5 ค่าของ xy มีค่าเป็นเท่าใด |
| |
1. 40 |
2. 35 |
| |
3. 30 |
4. 25 |
| |
|
|
| 7. ข้อมูลชุดหนึ่งมี 10 จำนวน มีค่าเฉลี่ยเลขคณิตเท่ากับ A ถ้าผลบวกข้อมูลแต่ละจำนวนด้วย 5 ข้อมูลใหม่มีค่าเฉลี่ยเลขคณิตเท่ากับเท่าใด |
| |
1. เท่าเดิม |
2. A+1 |
| |
3. A+2 |
4. A + 5 |
| |
|
|
| 8. ในการสอบครั้งหนึ่งมีนักเรียนเข้าสอบ 16 คน ได้คะแนนดังนี้ 61, 53, 40, 46, 52, 50, 37, 41, 71, 38, 47, 64, 54, 45, 32, 73 ถ้ามีนักเรียนเข้าสอบเพิ่มอีก 2 คน จะทำให้ค่าเฉลี่ยเลขคณิตเพิ่มขึ้นจาก เดิมอีก 0.25 คะแนน อยากทราบว่านักเรียนที่สอบเพิ่มใหม่อีก 2 คน ได้คะแนนเฉลี่ยเท่าไร |
| |
1. 52.5 |
2. 51.5 |
| |
3. 50.5 |
4. 48.5 |
| |
|
|
9. ถ้า A = 60๐ ค่าของ เท่ากับค่าในข้อใด |
| |
1. 1 |
2.  |
| |
3.  |
4.  |
| |
| 10. กำหนดให้ sinA – cosA = 0 จงหาค่าของ cosec A เท่ากับเท่าไร |
| |
1. 1 |
2.  |
| |
3. 2 |
4.  |
| |
|
|
| 11. ถ้า xsin30๐cos60๐ = 4 แล้ว x มีค่าเท่ากับข้อใด |
| |
1. 16 |
2. 8 |
| |
3.  |
4.  |
| |
|
|
12. + (sec A + tanA)(secA − tanA) มีค่า ตรงกับข้อใด |
| |
1. 0 |
2.  |
| |
3. 1 |
4. 2 |
| |
|
|
| 13. เสาต้นหนึ่งสูง 6 ฟุต ปักอยู่ริมทะเลในตอนเช้าเมื่อดวงอาทิตย์สูง 47๐ เงาของเสาต้นนี้จะยาวเท่าไร |
| |
1. 6 tan 47๐ |
2.  |
| |
3. 6 sin 47๐ |
4.  |
| |
| 14. ประตูโกดังเก็บของแห่งหนึ่งกว้าง 4 เมตร และเปิดประตูได้กว้างเพียง 60๐ จะนำตู้คอนเทนเนอร์ขนาดกว้างที่สุดเท่าไร ผ่านเข้าประตูนี้ได้ |
| |
1. 2 เมตร |
2. 2.4 เมตร |
| |
3. 3.2 เมตร |
4. 3.5 เมตร |
| |
|
|
| 15. ถ้า A + B = 90๐ แล้ว (cosec A + sec B)(cosec A – sec B) มีค่าเท่าไร |
| |
1. 0 |
2. 1 |
| |
3. -1 |
4. 2 |
| |
|
|
| 16. จงหาค่า A ที่ทำให้ cosec 32๐cos A = 1 ว่ามีค่าตรงกับข้อใด |
| |
1. 16๐ |
2. 29๐ |
| |
3. 32๐ |
4. 58๐ |
| |
|
|
17. กำหนดให้ CE // AB และ ABE = 70 องศา จงหา DCB มีขนาดเท่ากับเท่าไร

|
| |
1. 100 องศา |
2. 104 องศา |
| |
3. 108 องศา |
4. 110 องศา |
| |
|
|
18. จากรูป PQ สมั ผสั วงกลม O ที่จุด R จงหาขนาดของ RQS เท่ากับกี่องศา

|
| |
1. 38 องศา |
2. 40 องศา |
| |
3. 42 องศา |
4. 44 องศา |
| |
|
|
19. จากรูป เส้นตรง OD = CD, มุม AED = 100 องศา จงหาค่า เท่ากับเท่าไร

|
| |
1. 50 องศา |
2. 60 องศา |
| |
3. 70 องศา |
4. 80 องศา |
| |
|
|
20. จากรูป กำหนดให้ BC เป็นเส้นผ่านศูนย์กลางของวงกลม ถ้า A = 20 องศา ECD = 36 องศา จงหาขนาดของ CED เท่ากับกี่องศา

|
| |
1. 30 องศา |
2. 32 องศา |
| |
3. 35 องศา |
4. 37 องศา |
| |
|
|
 |
| |
1. 90 องศา |
2. 95 องศา
|
| |
3. 100 องศา |
4. 120 องศา |
| |
|
|
 |
| |
1. 30 องศา |
2. 40 องศา |
| |
3. 45 องศา |
4. 50 องศา |
| |
|
|
 |
| |
1. 21 องศา |
2. 22 องศา |
| |
3. 23 องศา |
4. 25 องศา |
| |
|
|
24. จงหาค่าของ ตรงกับข้อใด |
| |
1. x2 + 4x + 3 |
2. x2 - 4x + 3 |
| |
3. x2 - 3x - 18 |
4. 2x2 + 3x + 1 |
| |
|
|
25. จงหาค่าของ ตรงกับข้อใด |
| |
1.  |
2.  |
| |
3.  |
4.  |
| |
|
|
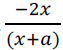
26. จงหาค่าของ ตรงกับข้อใด |
| |
1.  |
2.  |
| |
3.  |
4.  |
| |
|
|
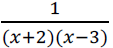
27. จงหาค่าของ ตรงกับข้อใด |
| |
1.  |
2.  |
| |
3.  |
4.  |
| |
|
|
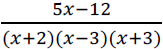
28. เศษส่วนอย่างง่ายของ ตรงกับข้อใด |
| |
1. x - y |
2. x + y |
| |
3.  |
4.  |
| |
|
|
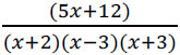
29. จงหาผลสำเร็จของ มีค่าเท่าไร |
| |
1.  |
2.  |
| |
3.  |
4.  |
| |
|
|
30. ถ้า x + y = k2a2, xy = a2b แล้ว เท่ากับเท่าใด |
| |
1. 1 |
2. 2 |
| |
3.  |
4.  |