
แบบทดสอบปลายภาคเรียน ม.3 ภาคเรียนที่ 1
1. ระบบสมการ 2(x + 3) – 3(y- 4) = 22

มีคำตอบตรงกับข้อใด |
| |
1. (3, -2) |
2. (-4, 1) |
| |
3. (-3, 3) |
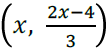
4. มีคำตอบมากมายไม่จำกัดในรูป  |
| |
2. ระบบสมการ xy(x + y) = 30
xy (x – y) = 6
มีคำตอบตรงกับข้อใด |
| |
1. (2, 3) |
2. (3, 2) |
| |
3. (-2, 3) |
4. (-3, 2) |
| |
|
|
3. ระบบสมการ ax + by = 2ab
bx – ay = b2 - a2 |
| |
1. (a, b) |
2. (b, a) |
| |
3. (a – b, a + b) |
4. (b – a, a - b) |
| |
|
|
| 4. ข้อใดเป็นคำตอบของสมการ 0.3x + 0.4y + 0.45 = 0 และ 0.5x – 0.6y = 1.15 |
| |
1. (-0.5, 1.5) |
2. (0.5, -1.5) |
| |
3. (0.5, 1.5) |
4. (-0.5, 1.5) |
| |
|
|
| 5. ค่าของ x และ y ที่สอดคล้องกับระบบสมการ x + by = c และ bx + cy = bc คือข้อใด |
| |
1. (c, 0) |
2. (-c, 0) |
| |
3. (0, c) |
4. (0, -c) |
| |
|
|
| 6. เส้นตรง x + y + 8 = 0 และ 3x – 4y -4 = 0 เมื่อเขียนกราฟแล้วจุดตัดของเส้นตรงทั้งสองอยู่ห่างจาก แกน X เท่าไร |
| |
1.  |
2. 4 |
| |
3. 5 |
4. 7 |
| |
|
|
7. ระบบสมการ 0.2 x + 0.3y = 2.1
x – 4y = 5
มีคำตอบตรงกับข้อใด |
| |
1. (9, 1) |
2. (0.9, 0.1) |
| |
3. (9, -1) |
4. (0.9, -0.1) |
| |
|
|
8. ระบบสมการ 2.0 x - 1.3y = 0.1
3.5x – 1.1 y = 3.7
มีคำตอบตรงกับข้อใด |
| |
1. (0.2, 0.3) |
2. (0.2, -0.3) |
| |
3. (2, 3) |
4. (2, -3) |
| |
|
|
| 9. ข้อสรุปใดต่อไปนี้ถูกต้อง |
| |
1. สามเหลี่ยมมุมฉาก 2 รูปใดๆ ต้องเป็นรูปสามเหลี่ยมที่คล้ายกัน |
| |
2. สามเหลี่ยมหน้าจั่ว 2 รูปใดๆ ต้องเป็นรูปสามเหลี่ยมที่คล้ายกัน |
| |
3. สามเหลี่ยมด้านเท่า 2 รูปใดๆ ต้องเป็นรูปสามเหลี่ยมที่คล้ายกัน |
| |
4. มีข้อถูกต้องมากกว่า 1 ข้อ |
| |
|
|
10. 

|
| |
1. 9.5 |
2. 10 |
| |
3. 12 |
4. 18 |
| |
11. 

|
| |
1. 3 นิ้ว |
2. 3.5 นิ้ว |
| |
3. 4 นิ้ว |
4. 4.5 นิ้ว |
| |
|
|
| 12. ABCD เป็นรูปสี่เหลี่ยมผืนผ้า ลาก AC จาก B และ D ลากให้มาตั้งฉากกับ AC ที่ E และ F ตามลำดับ แล้วรูปสามเหลี่ยมคู่ใดคล้ายกัน |
| |
1.  |
2.  |
| |
3.  |
4.  |
| |
|
|
13. รูปสี่เหลี่ยมคางหมู ABCD มี ที่ O รูปสามเหลี่ยมคู่ใดเป็นรูปสามเหลี่ยมคล้าย |
| |
1.  |
2.  |
| |
3.  |
4.  |
| |
|
|
14. 

|
| |
1. 9 นิ้ว |
2. 10 นิ้ว |
| |
3. 11 นิ้ว |
4. 12 นิ้ว |
| |
|
|
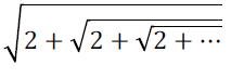
15. จงหาค่าของ  |
| |
1. 1 |
2. 2 |
| |
3. 3 |
4. 4 |
| |
|
|
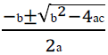
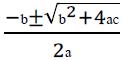
| 16. กำหนดสมการกำลังสอง ax2 − bx − c = 0 เมื่อ a , b , c เป็นจำนวนจริง และ a ≠ 0 จะได้คำตอบของสมการนี้ตรงกับข้อใด |
| |
1.  |
2.  |
| |
3.  |
4.  |
| |
|
|
| 17. คำตอบของสมการ (2y − 7)2 = 49 คือขอ้ ใด |
| |
1. 0 , 28 |
2. 0 , 7 |
| |
3. ± |
4. ±14 |
| |
|
|
| 18. จากสมการ x2 − 2ax + a2 = x − a ค่าของ x มีค่าเป็นเท่าไร |
| |
1. a |
2. a + 1 |
| |
3. a − 1 |
4. a , a + 1 |
| |
|
|
| 19. จากสมการ 5x2 − 2x − 8 = 0 จงพิจารณาว่าข้อใดถูก |
| |
1. คำตอบของสมการไม่ใช่จำนวนจริง |
| |
2. คำตอบของสมการเป็นจำนวนตรรกยะ 2 จำนวนที่เท่ากัน |
| |
3. คำตอบของสมการเป็นจำนวนอตรรกยะ 2 จำนวนที่ไม่เท่ากัน |
| |
4. คำตอบของสมการเป็นจำนวนตรรกยะ 2 จำนวนที่ไม่เท่ากัน |
| |
|
|
| 20. พ่อและลูกช่วยกันทาสีบ้านเสร็จในเวลา 8 วัน แต่ถ้าให้ทาคนเดียวลูกจะใช้เวลามากกว่าพ่อ 12 วัน ในการทาสีบ้านนี้ จงหาว่าถ้าพ่อทาสีคนเดียวจะใช้เวลากี่วัน |
| |
1. 10 วัน |
2. 11 วัน |
| |
3. 12 วัน |
4. 15 วัน |
| |
|
|
| 21. จงหาค่าสูงสุดของพาราโบลา y = -9 + 6x - x2 ตรงกับข้อใด |
| |
1. 0 |
2. 1 |
| |
3. -1 |
4. 2 |
| |
|
|
22. ข้อใดเป็นกราฟพาราโบลาที่มีจุดยอด (-1, -8) และตัดแกน X ที่จุด (-3, 0) |
| |
1. y = (x + 1)2 - 8 |
2. y = (x - 1)2 + 8 |
| |
3. y = -2(x + 1)2 - 8 |
4. y = 2(x + 1)2 - 8 |
| |
|
|
| 23. กำหนด y = x2 - 4x + 3 ข้อใดสรุปถูกต้อง |
| |
1. ค่า x ที่ทำให้ y มีค่าน้อยที่สุด คือ x |
2. ค่า x ที่ทำให้ y มีค่ามากที่สุด คือ x = 2 |
| |
3. ค่า x ที่ทำให้ y มีค่ามากที่สุด คือ x = -2 |
4. ค่า x ที่ทำให้ y มีค่าน้อยที่สุด คือ x = -2 |
| |
|
|
| 24. ถ้าจุด (x, 6) อยู่บนกราฟพาราโบลา y = x2 - 3 แล้วข้อใดต่อไปนี้คือจุด (x, 6) ตามเงื่อนไขข้างต้น |
| |
1. (-3, 6) |
2. (3, 6) |
| |
3. (9, 6) |
4. ถูกต้องทั้งข้อ 1 และ 2 |
| |
|
|
25. จุดวกกลับของกราฟของสมการในข้อใดที่อยู่ในจตุภาคที่ 3 |
| |
1. y = 3(x - 4)2 + 3 |
2. y = 3(x - 4)2 - 5 |
| |
3. y = -3(x + 4)2 - 5 |
4. y = -3(x + 4)2 + 5 |
| |
|
|
26. จุดยอดของพาราโบลา x2 + 8x - 2y - 6 = 0 คือข้อใด
|
| |
1. (4, 11) |
2. (-4, 11) |
| |
3. (4, -11) |
4. (-4, -11) |
| |
|
|
| 27. กราฟของสมการ y = 4x2 - 16x + 15 มีจุดยอดอยู่ที่จุดใด |
| |
1. (-2, 1) |
2. (2, -1) |
| |
3. (2, 1) |
4. (1, -2) |
| |
|
|
| 28. จงหาพื้นที่ผิวโค้งของทรงกระบอกตัน ซึ่งเส้นผ่านศูนย์กลางที่หน้าตัดมีความยาว 10 เซนติเมตร ยาว 28 เซนติเมตร |
| |
1. 880 ตารางเซนติเมตร |
2. 890 ตารางเซนติเมตร |
| |
3. 920 ตารางเซนติเมตร |
4. 960 ตารางเซนติเมตร |
| |
|
|
| 29. จงหาพื้นที่ผิวทั้งหมดของกรวยกลม ซึ่งมีเส้นผ่านศูนย์กลางที่ฐานยาว 28 เซนติเมตร และสูงเอียง เป็น 60 เซนติเมตร |
| |
1. 3,158 ตารางเซนติเมตร |
2. 3,256 ตารางเซนติเมตร |
| |
3. 3,324 ตารางเซนติเมตร |
4. 3,418 ตารางเซนติเมตร |
| |
|
|
| 30. พีระมิดฐานสี่เหลี่ยมผืนผ้ามีด้านประกอบมุมฉากยาว 32 และ 10 เซนติเมตร พีระมิดสูง 12 เซนติเมตร จะมีพื้นที่ผิวตรงกับข้อใด |
| |
1. 520 ตารางเซนติเมตร |
2. 616 ตารางเซนติเมตร |
| |
3. 736 ตารางเซนติเมตร |
4. 936 ตารางเซนติเมตร |
 |