1. จากรูป , x มีค่าเท่าใด

|
| |
1. 10 องศา |
2. 15 องศา |
| |
3. 18 องศา |
4. 20 องศา |
| |
2. จากรูป จะกางกี่องศา

|
| |
1. 137 องศา |
2. 127 องศา |
| |
3. 112 องศา |
4. 105 องศา |
| |
|
|
3. จากรูป กำหนดให้ AB // CD จงหาค่า x

|
| |
1. 32 องศา |
2. 34 องศา |
| |
3. 36 องศา |
4. 38 องศา |
| |
|
|
4. กำหนดให้ AB // CD, กางกี่องศา

|
| |
1. 20 |
2. 40 |
| |
3. 80 |
4. 85 |
| |
|
|
5. กำหนดให้ AB // CD, กางกี่องศา

|
| |
1. 105 |
2. 115 |
| |
3. 125 |
4. 135 |
| |
|
|
6. กำหนดให้ AB // DE, กางกี่องศา

|
| |
1. 30 |
2. 35 |
| |
3. 40 |
4. 50 |
| |
|
|
7. กำหนดให้ AB // EF, กางกี่องศา

|
| |
1. 10 |
2. 20 |
| |
3. 30 |
4. 40 |
| |
|
|
8. จากรูป เส้นตรง L1 // L2 จงหาค่า a

|
| |
1. 21 |
2. 25 |
| |
3. 30 |
4. 40 |
| |
|
|
9. จาก AB // CD จงหาค่าของ x

|
| |
1. 60 |
2. 70 |
| |
3. 80 |
4. 85 |
| |
|
|
10. จาก BA // DE จงหาค่าของ a

|
| |
1. 65 |
2. 70 |
| |
3. 75 |
4. 80 |
| |
|
|
| 11. จากสมการ 3y + 4 + 10y – 17 = 14 – 23y + 16 – 7y จงหาค่า y |
| |
1. 1 |
2. 3 |
| |
3. 5 |
4. 7 |
| |
|
|
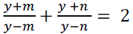
12. ถ้า จงหาค่า x |
| |
1. -10 |
2. -5 |
| |
3. 0 |
4. 10 |
| |
|
|
13. จงหาค่า x |
| |
1.  |
2.  |
| |
3.  |
4.  |
| |
|
|
14. (x + 3)(x - 2) มีค่าเท่าใด ถ้า  |
| |
1. 0 |
2. 3 |
| |
3. 6 |
4. 9 |
| |
|
|
15. แล้ว (m + n)y คือข้อใด |
| |
1. 2mn |
2. m + n |
| |
3. 2m – n |
4.  |
| |
|
|
16. ค่าของ x จากสมการ ตรงกับข้อใด |
| |
1. -2.3 |
2. -2.4 |
| |
3. 2.5 |
4. 2.6 |
| |
|
|
17. คำตอบของสมการ x2 + 4x + 4 = 0 ตรงกับข้อใด
|
| |
1. -1 และ -4 |
2. 1 และ 4 |
| |
3. -2 และ -2 |
4. 2 และ -2 |
| |
|
|
| 18. คำตอบของสมการ 11 - 10x - x2 = 0 ตรงกับข้อใด |
| |
1. 1 และ 11 |
2. -1 และ 11 |
| |
3. -1 และ -11 |
4. 1 และ -11 |
| |
|
|
| 19. คำตอบของสมการ x2 - 20x = -100 ตรงกับข้อใด |
| |
1. 10 และ 10
|
2. -10 และ 10 |
| |
3. 4 และ 25 |
4. -4 และ -25 |
| |
|
|
| 20. คำตอบของสมการ (2x + 5)2 = 0 ตรงกับข้อใด |
| |
1.  |
2.  |
| |
3.  |
4.  |
| |
|
|
| 21. ถ้า y แปรผันโดยตรงกับ (ax - 2) เมื่อ a เป็นค่าคงตัว และเมื่อ x = 5, y = 3 กับ x = 6, y = 4 จงหาค่าของ a และ x เมื่อ y = 5 |
| |
1. a = 2, x = 6
|
2. a = 1, x = 7 |
| |
3. a = 1, x = 6 |
4. a = 2, x = 8 |
| |
|
|
22. เครื่องจักรของเรือลำหนึ่งมีแรงม้าเป็นสัดส่วนโดยตรงกับกำลังสามของความเร็ว เมื่อความเร็วเป็น 8 น๊อต แรงม้า จะเป็น 80 ให้หาว่าอัตราเร็วเป็น 12 น๊อต แรงม้าจะเป็นเท่าไร |
| |
1. 220 แรงม้า |
2. 240 แรงม้า |
| |
3. 250 แรงม้า |
4. 270 แรงม้า |
| |
|
|
| 23. เส้นรอบวงของวงกลมแปรผันโดยตรงกับรัศมี เส้นรอบวงของวงกลมยาว 6 นิ้ว เมื่อรัศมีของวงกลมยาว 4 นิ้ว ถ้าเส้นรอบวงของวงกลมยาว 18 นิ้ว แล้วรัศมีของวงกลมจะมีค่าเท่าไร |
| |
1. 6 นิ้ว |
2. 8 นิ้ว |
| |
3. 10 นิ้ว |
4. 12 นิ้ว |
| |
|
|
| 24. ถ้า V แปรผกผันกับ t และ V = 20 เมื่อ t = 2 แล้วค่าคงตัวของการแปรผันนี้เท่ากับข้อใด |
| |
1. 10 |
2. 18 |
| |
3. 22 |
4. 40 |
| |
|
|
| 25. กำหนดให้ y แปรผกผันกับ x2 และ y = 27 เมื่อ x = 2 จงหาค่าของ y เมื่อ x = 6 |
| |
1. 81 |
2. 27 |
| |
3. 9 |
4. 3 |
| |
|
|
| 26. ถ้า a2 แปรผกผันกับ b และ a = 2 เมื่อ b = 3 แลว้ ถ้า b = 48 ค่าของ a จะเท่ากับข้อใด |
| |
1.  |
2.  |
| |
3. 12 |
4. 15 |
| |
|
|
27. ถ้า y แปรผกผันกับ และ y = 1 เมื่อ x = 2 จงหาค่าของ x เมื่อ y =  |
| |
1. 0 |
2. 1 |
| |
3. 4 |
4. 1 , 4 |
| |
|
|
| 28. คนงาน 30 คน ช่วยกันทำงานชิ้นหนึ่งเสร็จไปครึ่งหนึ่งของงาน ใช้เวลา 16 วัน หากต้องการให้งานที่เหลือแล้วเสร็จใน 10 วัน จะต้องเพิ่มคนงานอีกกี่คน |
| |
1. 6 คน |
2. 18 คน |
| |
3. 20 คน |
4. 24 คน |
| |
|
|
| 29. ถ้า y แปรผันเกี่ยวเนื่องกับ x และ z แปรผกผันกับรากที่สองของ u กำหนดให้ y = 2 เมื่อ x =6, z = 8 และ u = 9 จงหา y เมื่อ x = 2, z = 4 และ u = 4 |
| |
1.  |
2.  |
| |
3.  |
4.  |
| |
|
|
| 30. รูปสี่เหลี่ยมมุมฉากรูปหนึ่งมีด้านยาวยาวกว่าด้านกว้าง 3 เซนติเมตร และมีพื้นที่เป็น 40 ตารางเซนติเมตร จงหาความกว้างของรูปสี่เหลี่ยม |
| |
1. 4 เซนติเมตร |
2. 5 เซนติเมตร |
| |
3. 6 เซนติเมตร |
4. 7 เซนติเมตร |